Continuous and bimonthly publication
ISSN (on-line): 1806-3756

Licença Creative Commons
12868
Views
Back to summary
Open Access Peer-Reviewed
Original Article

Occurrence of asthma symptoms and of airflow obstruction in amateur swimmers between 8 and 17 years of age

Ocorrência de sintomas asmáticos e de distúrbio obstrutivo em nadadores amadores de 8 a 17 anos de idade

Iara Nely Fiks, André Luis Pereira de Albuquerque, Leonardo Dias, Celso Ricardo Fernandes de Carvalho, Carlos Roberto Ribeiro de Carvalho

ABSTRACT

Objective: To determine the prevalence of asthma symptoms and of airflow obstruction in amateur swimmers between 8 and 17 years of age, as well as to assess the awareness of asthma and asthma management among these swimmers, their parents, and their coaches. Methods: Our sample comprised 1,116 amateur swimmers who completed a modified version of the International Study of Asthma and Allergies in Childhood written questionnaire, to which questions regarding the reasons to initiate swimming and regarding asthma management had been added. In addition, the participants underwent spirometry prior to a swimming competition. Results:   The prevalence of asthma symptoms in the last 12 months was 11.5%, and 327 (29.4%) of the participants reported "wheezing or whistling" in the past. Of the 223 swimmers who reported "asthma ever" or "bronchitis ever", only 102 (45.7%) reported having ever been treated: the most common "treatment" was swimming (in 37.3%), and only 12.7% used inhaled corticosteroids. Of the 254 participants (22.7%) with airflow obstruction, only 52  (20.5%) reported having asthma symptoms. Conclusions: Asthma symptoms are present in amateur swimmers, and a considerable number of such swimmers have airflow obstruction without symptoms. It is therefore likely that the prevalence of asthma is underestimated in this population. It is worrisome that, in our study sample, the swimmers previously diagnosed with asthma were not using the recommended treatments for asthma. The clinical implications of these findings underscore the importance of implementing educational measures for amateur swimmers, as well as for their parents and coaches, to help them recognize asthma symptoms and the consequent risks in the sports environment, in order to allow prompt diagnosis and early clinical intervention.

Keywords: Asthma/diagnosis; Asthma/prevention & control; Sports.

RESUMO

Objetivo: Analisar a prevalência de sintomas asmáticos e de obstrução ao fluxo aéreo em nadadores amadores de 8-17 anos de idade e avaliar a conscientização sobre asma e tratamento de asma entre nadadores, seus pais e treinadores. Métodos: Uma amostra com 1.116 nadadores amadores respondeu a uma versão modificada do questionário escrito do International Study of Asthma and Allergies in Childhood, ao qual questões sobre as razões de início da natação e sobre gerenciamento de asma foram adicionadas. Os participantes realizaram espirometria antes de uma prova de natação. Resultados: A prevalência de sintomas de asma nos últimos 12 meses foi de 11,5%, e 327 participantes (29,4%) relataram sibilos no passado. Dos 223 nadadores que relataram asma ou bronquite na vida, somente 102 (45,7%) relataram algum tipo de tratamento: natação foi o "tratamento" mais frequente (37,3%), e somente 12,7% utilizavam corticosteroides inalatórios. Dos 254 participantes (22,7%) com obstrução ao fluxo aéreo, somente 52 (20,5%) relataram sintomas de asma. Conclusões: Os sintomas de asma estão presentes em nadadores amadores, e muitos deles têm obstrução ao fluxo aéreo sem sintomas, o que sugere uma subestimação da asma nessa população. É preocupante que os nadadores diagnosticados previamente com asma não utilizassem os tratamentos recomendados para asma. As implicações clínicas desses achados enfatizam a importância da implementação de medidas educacionais para nadadores amadores, pais e treinadores para auxiliá-los no reconhecimento dos sintomas de asma e de seus riscos no ambiente esportivo a fim de permitir o diagnóstico e a intervenção clínica precoce.

Palavras-chave: Asma/diagnóstico; Asma/prevenção & controle; Esportes.

Introduction

Asthma is a worldwide problem that affects approximately 300 million individuals, with a high prevalence among children and adolescents.(1) Asthma symptoms have also been found to constitute a relevant obstacle to practicing sports. Physical activity is a particular condition that can trigger clinical exacerbations for most asthma patients. Some studies have found that swimming is related to a higher prevalence of asthma symptoms, although those studies have almost exclusively involved professional swimmers.(2-6)

Although the underlying mechanisms responsible for developing asthma symptoms during swimming are still unclear, exposure to irritants, such as the chlorine compounds that are used in order to disinfect swimming pools, have been found to play a role in airway inflammation and therefore to predispose to bronchoconstriction.(7-9) While practicing their sport, swimmers inhale large amounts of air from just above the surface of the water, as well as being susceptible to the microaspiration of water into their trachea and bronchi.(7)

Children and adolescents who swim constitute a relevant epidemiological population to be investigated, not only because of chlorine exposure and its risks, but also because they have a higher prevalence of asthma symptoms than do adults.(1,10) In addition, proper diagnosis and treatment in this group could avoid the progression and substantial complications of asthma in the future. In order to evaluate this population, we believe it would be more appropriate to investigate amateur swimmers than professional ones, because the former are usually younger and have been poorly investigated in previous studies. In addition, amateur swimmers represent a larger number of athletes. Although we conducted a previous investigation involving amateur swimmers in Brazil, our sample size was small, and other aspects regarding this issue still need to be clarified.(11)

The objective of the present study was to determine the prevalence of asthma symptoms in amateur swimmers between 8 and 17 years of age and to assess the awareness of asthma and asthma management among these swimmers, their parents, and their coaches. A secondary objective was to look for correlations between airflow obstruction and the asthma symptoms reported by such swimmers. We hypothesized that some amateur swimmers might have airflow obstruction without asthma symptoms.

Methods

This study involved swimmers between 8 and 17 years of age who participated in a Brazilian swimming competition only for amateur athletes. The majority of the swimmers were accustomed to training in swimming pools treated with chlorine. The athletes came from various cities in the state of Sao Paulo, Brazil, which allowed us to evaluate athletes from a broad area. A total of 4,014 swimmers were enrolled in the competition.

Just prior to the swimming races and always in the morning, the swimmers were invited to complete a questionnaire and to perform the spirometry maneuvers. The swimmers were randomly selected by members of our staff who approached them around the swimming pool during the competition. The swimmers received a modified version of the International Study of Asthma and Allergies in Childhood (ISAAC) written questionnaire in Portuguese (validated for use in Brazil). The ISAAC questionnaire has been widely used in this kind of epidemiological investigation in order to determine the prevalence of asthma symptoms in large populations, in Brazil and elsewhere.(12-14) The modified ISAAC questionnaire used in this study included questions regarding the reasons to initiate swimming and about the current use of asthma treatments, if any.

The study was approved by the Research Ethics Committee of São Luiz Hospital and by the Brazilian National Ethics Committee. All participants gave written informed consent.

During the completion of the questionnaire, parents or coaches were encouraged to help the participants (especially younger children), although they were not allowed to answer for the swimmer-only to transcribe their oral responses. Depending on the occurrence of asthma symptoms, the maximum total score on the questionnaire was 14 points. A cut-off value of 6 points, employed in a previous study involving children in Brazil,(13) was used in order to distinguish between the presence and absence of asthma symptoms. In addition, the occurrence of "wheezing or whistling" within the last 12 months, which has been proven to have good sensitivity and specificity in the clinical diagnosis of asthma,(15) was also considered a major criterion for the presence of asthma symptoms. Both criteria have been validated in previous investigations.(12,13,15)

Because the ISAAC written questionnaire is specific for individuals 6-7 or individuals 13-14 years of age, the answers obtained from the swimmers in the 13-14-year age bracket were compared with those given by the swimmers of other ages, in order to identify possible age-related differences.

Spirometry was carried out prior to the swimming races. We used a hand-held spirometer (One Flow Soft V 1.2, Clement Clarke International, Essex, UK). At least three forced expiratory maneuvers were performed, in accordance with the European Respiratory Society/American Thoracic Society recommendations.(16) Predicted values were based on a previous study conducted in Brazil and were adjusted for age.(17) We also calculated the body mass index (in kg/m²) for each participant.

In order to identify the swimmers with airflow obstruction at rest, two subgroups were defined, based on the mean value of the lower limit of normal for the FEV1/FVC ratio in age-matched individuals(17): those with an FEV1/FVC ratio < 80%; and those with an FEV1/FVC ratio ≥ 80%. The prevalence of asthma symptoms and spirometric measurements were contrasted between the two subgroups. Because swimmers might have large lung volumes,(18,19) leading to a diminished FEV1/FVC ratio not necessarily representing airflow obstruction but just a physiological variant of normal, the swimmers with an FVC > 120% of predicted were excluded.(20,21) Among the remaining swimmers, the prevalence of asthma symptoms and the spirometric variables were then contrasted again between those with an FEV1/FVC < 80% and those with an FEV1/FVC ≥ 80%.

Clinical/functional mismatch was defined as when a swimmer had airflow obstruction, confirmed by spirometry, without asthma symptoms. This classification has serious implications, and its possible mechanisms are described in the discussion section.

Statistical analysis was carried out with the Statistical Package for the Social Sciences, version 13.0 (SPSS Inc., Chicago, IL, USA). For variables with normal distribution, we used the Student's t-test for the comparison between two groups, whereas, for those with non-normal distribution, we used the Mann-Whitney test. The chi-square test was used in order to compare proportions between groups. The level of statistical significance was set at p < 0.05.

Results

Although the real number of participants could not be determined, considering that 4,014 swimmers were enrolled in the swimming competition, 1,116 (27.8%) completed the questionnaire and performed spirometry at rest. This sample size was the largest that could be obtained by our staff. Our objective was to evaluate at least 25% of the swimmers who took part in the competition (defined during the study design), so we achieved our own target sample size. As shown in Table 1, most of the swimmers were male, tended to be lean (mean body mass index, 19.6 kg/m2), and presented with normal lung function. The mean age of the participants was 12.4 ± 2.4 years, and the participants were similarly distributed within the age range studied.



The questionnaires were completed by 386 swimmers (34.6%), 611 parents of swimmers (54.7%), 53 swim coaches (4.7%), and 66 non-parent relatives of swimmers (5.9%). In general, the participants started to swim in order to practice a sport. However, 175 participants (15.7%) considered swimming a possible treatment for their respiratory problems (Table 2). The occurrence of asthma symptoms was common. Of the 1,116 participants, 327 (29.3%) reported a history of "wheezing or whistling"; 128 (11.5%) reported "wheezing or whistling" within the last 12 months; and 223 (20.0%) reported "asthma ever" or "bronchitis ever". There were no differences between males and females in terms of the prevalence of asthma symptoms (p < 0.05; data not shown).



The group of swimmers who reported that they had started to swim in order to treat their respiratory problems (n = 175) showed some particular characteristics, such as a higher prevalence of males, of airflow obstruction, and of asthma symptoms, when compared with other swimmers of the same age (Table 3).



When we compared the ISAAC questionnaire scores between two age groups (13-14 years of age and other ages), the median total score was comparable (1.44 ± 6.93 vs. 1.57 ± 6.73). A significant difference was found only regarding question 2. Therefore, although the specificity of the ISAAC written questionnaire is for individuals in the 13-14-year age bracket, no differences were found in comparison with the results obtained from individuals in the other age brackets, suggesting that this questionnaire is a useful tool for these groups.

Of the 223 swimmers who reported "asthma ever" or "bronchitis ever" (question 8), only 102 (45.7%) reported having ever been treated for those: the most common "treatment" was swimming (37.3%), and only 12.7% used inhaled corticosteroids (Figure 1).



Airflow obstruction (FEV1/FVC < 80%) was identified in 254 of the participants (22.7%). When this subgroup of participants was compared with that of swimmers without airflow obstruction (FEV1/FVC ≥ 80%; n = 862), the incidence of asthma symptoms within the last 12 months was found to be higher in the former (20.5% vs. 8.8%; p < 0.05), as was the median total score on the ISAAC questionnaire (0.0 ± 9.7 vs. 0.0 ± 6.3; p < 0.05). However, even after the participants who might represent a physiological variant of normal (FVC > 120% of predicted, n = 441) had been excluded from both groups, the airflow obstruction observed for the remaining 96 individuals with an FEV1/FVC < 80% continued to be more pronounced than was that observed for the 579 individuals with an FEV1/FVC ≥ 80% (FEV1 = 2.48 ± 0.78 L vs. 2.85 ± 80% L; p < 0.01), and the incidence of asthma symptoms within the last 12 months was still significantly higher in the former (16.7% vs. 9.0%; p = 0.02).

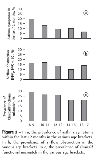
The presence of airflow obstruction and the occurrence of asthma symptoms, however, were in disagreement, inasmuch as only 20.5% of the participants with an FEV1/FVC < 80% reported "wheezing or whistling" within the last 12 months. Although such mismatching was high in all age groups (> 20%), it was highest among the youngest swimmers (< 14 years of age), as were asthma symptoms and airflow obstruction (Figure 2).



Discussion

Although there have been various investigations of professional swimmers and asthma, little is known about asthma among amateur swimmers, who, in fact, represent the majority of swimmers. The results of the present study confirm that asthma symptoms are also present in amateur swimmers and that a considerable number of such swimmers have airflow obstruction without presenting any symptoms, which suggests that the prevalence of asthma is underestimated in this population. In addition, some athletes began to swim in order to treat their respiratory symptoms and, unfortunately, did not use the recommended medications for asthma management. Our group has previously investigated asthma symptoms in amateur swimmers.(11) However, in that earlier study, the sample size was much smaller, and the present study has various novel aspects, such as the evaluation of the reasons to initiate swimming; the investigation of the similarities and differences between previously symptomatic individuals and asymptomatic individuals; and the inclusion of age groups that are more representative.

In the present investigation, 11.5% of the swimmers reported "wheezing or whistling" within the last 12 months, a prevalence similar to that found in other investigations of children and adolescents.(10,22) However, our results show that 29% of those swimmers had a history of asthma symptoms and that 18.2% of them had physician-diagnosed asthma or bronchitis. On the basis of previous findings in athletes,(23) we can assume that these symptomatic swimmers experience breathlessness more often than do asymptomatic swimmers and that their respiratory system can become overloaded while swimming.

We found it remarkable that 15.7% of the swimmers evaluated reported having initiated swimming in order to treat respiratory problems. This is a result of the mistaken cultural belief, apparently held by many parents in Brazil and even by many of the athletes themselves, that swimming is a real therapeutic option, especially for asthma. Swimming improves physical performance and decreases general fatigue during exercise, even in asthma patients.(24) However, there is no doubt that an athlete with asthma who does not receive regular treatment will more often experience respiratory discomfort than will non-athletes with asthma, and that swimming can be disadvantageous for individuals with asthma, because of their lower exercise tolerance, increasing the risk of clinical exacerbations.(23) In addition, deaths have been reported among young competitive athletes with asthma,(25) confirming the higher risk of severe exacerbations for an untreated athlete with asthma. Although swimming can be an adjuvant approach to control asthma,(26-28) all asthma patients should be continuously followed by their physicians. Furthermore, other medical conditions that result in asthma-like symptoms-vocal cord dysfunction, heart disease, and lung disease(29)-can only be ruled out by medical evaluation.

In the current study, these relevant clinical and functional repercussions of asthma for the athletes were also underscored by the fact that swimmers with a history of respiratory disorders had markedly more symptoms of asthma and lower FEV1/FVC ratios than did those without such a history (Table 3).

Although 223 swimmers (20.0%) reported having been diagnosed with asthma or bronchitis, only 102 of those (45.7%) had received any treatment. The most commonly reported form of "treatment" was swimming, not only because the study assessment was carried out exclusively in swimmers but, again, because of the mistaken cultural belief that swimming alone can be an effective treatment for asthma. To our knowledge, this belief has never before been described. The use of inhaled corticosteroids accounted for only 12.7% of all therapeutic interventions. Therefore, it is clear that the treatments for asthma used by amateur swimmers are different from those recommended in medical guidelines,(1) which could result in poor control of symptoms and an increased risk of impairment due to asthma over the years. It is noteworthy that nearly half of the swimmers who reported having been diagnosed with asthma or bronchitis had never received any kind of treatment. One of the most important reasons for this is certainly a lack of awareness-on the part of swimmers, their parents, and their coaches-regarding asthma and asthma management.

It is known that asthma patients can have airflow obstruction without symptoms. Therefore, the presence of an obstructive pattern by spirometry not only contributes to a prompt diagnosis of asthma but can also identify individuals who are at a higher risk of becoming symptomatic during exercise. However, the comparison between the two groups (with and without airflow obstruction), in terms of the presence of asthma symptoms-as determined on the basis of the two most common ISAAC criteria(13,15)-showed that only 20.5% of the swimmers diagnosed with obstruction (FEV1/FVC < 80%) reported respiratory symptoms. It is logical to conclude that there are many amateur swimmers with airflow obstruction but without symptoms, as has previously been reported in studies involving professional athletes.(25,30) This finding has relevant implications, because it might take a long time for athletes with asymptomatic respiratory problems to seek medical attention and, consequently, to receive appropriate treatment. The main reasons for this clinical/functional mismatch are not clear. It is known that athletic training leads to a poor perception of dyspnea,(24,26) thereby obscuring symptoms during exercise. In addition, athletes are usually fit and thought, by themselves and by others, to be healthy. Therefore, diseases and disorders are seldom recognized by the athletes themselves or even by their physicians. Again, the accurate and prompt clinical diagnosis of asthma and other respiratory diseases might consequently be delayed in this population.

It is noteworthy that the youngest swimmers (< 14 years of age) not only more often reported symptoms and more often had airflow obstruction but also had higher rates of clinical/functional mismatch. The main clinical implication of these findings is that, although many young swimmers are already symptomatic, there is another relevant group, composed of swimmers with airflow obstruction who are asymptomatic. The early and accurate diagnosis of asthma is likely to be more difficult in such individuals. However, because the present study had a cross-sectional design, we cannot draw any conclusions regarding whether age or the time since the initiation of swimming are associated with the clinical/functional mismatch. A prospective follow-up study of these swimmers might elucidate such associations.

This was a cross-sectional study. Therefore, we cannot truly affirm that the presence of asthma symptoms or of airflow obstruction was related to worse outcomes among the amateur swimmers evaluated. However, we can conclude that there was a considerable number of amateur swimmers with repercussions of asthma (symptoms and airflow obstruction) that were not appropriately diagnosed or treated. In addition, given the unfavorable clinical course reported in athletes with undiagnosed asthma in other studies, our results emphasize the importance of investigating asthma in this population.

In the present study, there was a high rate of parent participation in the completion of the questionnaire. The "help" of parents is commonly observed and accepted in self-report questionnaires targeting children. However, we collected only those questionnaires that were completed in the presence of the swimmers, under the supervision of one of the researchers, and parents or coaches were not permitted to provide the answers for the participants. In addition, the answers given with assistance did not differ significantly from those given by swimmers who completed the questionnaire without any assistance.

In conclusion, the relevant findings of the present study are that, among amateur swimmers, many have asthma symptoms and a considerable number have airflow obstruction without symptoms, which suggests that the prevalence of asthma is underestimated in this population. We also highlight the high proportion of children and adolescents with physician-diagnosed respiratory problems who have initiated swimming as a treatment for those problems, indicating that there is a lack of awareness on the part of athletes and parents of young athletes regarding asthma management and health risks.

The direct clinical implications of these findings underscore the importance of implementing educational measures for amateur swimmers, as well as for their parents and coaches, to help them recognize asthma symptoms and the consequent risks in the sports environment, in order to promote early diagnosis and timely clinical intervention.

Acknowledgments

We would like to thank the Brazilian Olympic swimmer Gustavo Borges and his family for promoting the development of this research. We would also like to thank all of our colleagues who performed the spirometry and collected data; Gregory B. Diette for his critical review of the manuscript and his scientific contribution; and Lisandra de Moura for her assistance in reviewing the manuscript in English.

References


1. Global Initiative for Asthma - GINA. [homepage on the Internet].
Bethesda: Global Initiative for Asthma. [updated 2010 Nov 1; cited 2011 Jun
10]. Global Strategy for Asthma Management and Prevention. [Adobe Acrobat document, 119p.] Available from:
http://www.ginasthma.org/pdf/GINA_Report_2010.pdf

2. Helenius I, Lumme A, Haahtela T. Asthma, airway inflammation and treatment in elite athletes. Sports Med. 2005;35(7):565-74.

3. Langdeau JB, Boulet LP. Prevalence and mechanisms of development of asthma and airway hyperresponsiveness in athletes. Sports Med. 2001;31(8):601-16.

4. Boulet LP, Turcotte H, Langdeau JB, Bernier MC. Lower airway inflammatory responses to high-intensity training in athletes. Clin Invest Med. 2005;28(1):15-22.

5. Vergès S, Devouassoux G, Flore P, Rossini E, Fior-Gozlan M, Levy P, et al. Bronchial hyperresponsiveness, airway inflammation, and airflow limitation in endurance athletes. Chest. 2005;127(6):1935-41.

6. Helenius I, Haahtela T. Allergy and asthma in elite summer sport athletes. J Allergy Clin Immunol. 2000;106(3):444-52.

7. Thickett KM, McCoach JS, Gerber JM, Sadhra S, Burge PS. Occupational asthma caused by chloramines in indoor swimming-pool air. Eur Respir J. 2002;19(5):827-32.

8. Bernard A. Chlorination products: emerging links with allergic diseases. Curr Med Chem. 2007;14(16):1771-82.

9. Bernard A, Nickmilder M, Voisin C, Sardella A. Impact of chlorinated swimming pool attendance on the respiratory health of adolescents. Pediatrics. 2009;124(4):1110-8.

10. Solé D, Yamada E, Vana AT, Costa-Carvalho BT, Naspitz CK. Prevalence of asthma and related symptoms in school-age children in São Paulo, Brazil--International Study of Asthma and Allergies in Children (ISAAC). J Asthma. 1999;36(2):205-12.

11. Fiks IN, Santos LC, Antunes T, Gonçalves RC, Carvalho CR, Carvalho CR. Incidence of asthma symptoms and decreased pulmonary function in young amateur swimmers. J Bras Pneumol. 2009;35(3):206-12.

12. Asher MI, Keil U, Anderson HR, Beasley R, Crane J, Martinez F, et al. International Study of Asthma and Allergies in Childhood (ISAAC): rationale and methods. Eur Respir J. 1995;8(3):483-91.

13. Solé D, Yamada E, Vana AT, Werneck G, Solano de Freitas L, Sologuren MJ, et al. International Study of Asthma and Allergies in Childhood (ISAAC): prevalence of asthma and asthma-related symptoms among Brazilian schoolchildren. J Investig Allergol Clin Immunol. 2001;11(2):123-8.

14. Solé D, Vanna AT, Yamada E, Rizzo MC, Naspitz CK. International Study of Asthma and Allergies in Childhood (ISAAC) written questionnaire: validation of the asthma component among Brazilian children. J Investig Allergol Clin Immunol. 1998;8(6):376-82.

15. Jenkins MA, Clarke JR, Carlin JB, Robertson CF, Hopper JL, Dalton MF, et al. Validation of questionnaire and bronchial hyperresponsiveness against respiratory physician assessment in the diagnosis of asthma. Int J Epidemiol. 1996;25(3):609-16.

16. Miller MR, Hankinson J, Brusasco V, Burgos F, Casaburi R, Coates A, et al. Standardisation of spirometry. Eur Respir J. 2005;26(2):319-38.

17. Pereira CA, Barreto SP, Simões JG, Pereira FWL, Gerstler JG, Nakatani J. Valores de referência para a espirometria em uma amostra da população brasileira adulta. J Pneumol. 1992;18:10-22.

18. Armour J, Donnelly PM, Bye PT. The large lungs of elite swimmers: an increased alveolar number? Eur Respir J. 1993;6(2):237-47.

19. Clanton TL, Dixon GF, Drake J, Gadek JE. Effects of swim training on lung volumes and inspiratory muscle conditioning. J Appl Physiol. 1987;62(1):39-46.

20. Pellegrino R, Viegi G, Brusasco V, Crapo RO, Burgos F, Casaburi R, et al. Interpretative strategies for lung function tests. Eur Respir J. 2005;26(5):948-68.

21. Aitken ML, Schoene RB, Franklin J, Pierson DJ. Pulmonary function in subjects at the extremes of stature. Am Rev Respir Dis. 1985;131(1):166-8.

22. Chatkin MN, Menezes AM. Prevalence and risk factors for asthma in schoolchildren in southern Brazil [Article in Portuguese]. J Pediatr (Rio J). 2005;81(5):411-6.

23. DiDario AG, Becker JM. Asthma, sports, and death. Allergy Asthma Proc. 2005;26(5):341-4.

24. Ram FS, Robinson SM, Black PN, Picot J. Physical training for asthma. Cochrane Database Syst Rev. 2005;(4):CD001116.

25. Becker JM, Rogers J, Rossini G, Mirchandani H, D'Alonzo GE Jr. Asthma deaths during sports: report of a 7-year experience. J Allergy Clin Immunol. 2004;113(2):264-7.

26. Clark CJ. The role of physical training in asthma. Chest. 1992;101(5 Suppl):293S-298S.

27. Mendes FA, Gonçalves RC, Nunes MP, Saraiva-Romanholo BM, Cukier A, Stelmach R, et al. Effects of aerobic training on psychosocial morbidity and symptoms in patients with asthma: a randomized clinical trial. Chest. 2010;138(2):331-7.

28. Mendes FA, Almeida FM, Cukier A, Stelmach R, Jacob-Filho W, Martins MA, et al. Effects of aerobic training on airway inflammation in asthmatic patients. Med Sci Sports Exerc. 2011;43(2):197-203.

29. Weiss P, Rundell KW. Imitators of exercise-induced bronchoconstriction. Allergy Asthma Clin Immunol. 2009;5(1):7.

30. Rundell KW, Im J, Mayers LB, Wilber RL, Szmedra L, Schmitz HR. Self-reported symptoms and exercise-induced asthma in the elite athlete. Med Sci Sports Exerc. 2001;33(2):208-13.




* Study carried out in the Department of Pulmonology, Instituto do Coração - InCor, Heart Institute - University of São Paulo School of Medicine Hospital das Clínicas; in the Department of Physical Therapy, University of São Paulo, São Paulo, Brazil; and at the ABC School of Medicine, Santo André, Brazil.
Correspondence to: Iara Nely Fiks. Hospital São Luiz. Rua Dr. João Clímaco Pereira, 51, Itaim-Bibi, CEP 04532-070, São Paulo, SP, Brasil.
Tel/Fax: 55 11 3845-3800. Email: ifiks@uol.com.br
Financial support: This study received financial support from Novartis S.A.
Submitted: 10 June 2011. Accepted, after review: 7 October 2011.
** A versão completa em português deste artigo está disponível em www.jornaldepneumologia.com.br



About the authors

Iara Nely Fiks
Pulmonologist. ABC School of Medicine, Santo André, Brazil; and São Luiz Hospital, São Paulo, Brazil.

André Luis Pereira de Albuquerque
Physician Researcher in the Pulmonology Department, Heart Institute, University of São Paulo School of Medicine Hospital das Clínicas, São Paulo, Brazil.

Leonardo Dias
Physiotherapist. Department of Physical Therapy, University of São Paulo, São Paulo, Brazil.

Celso Ricardo Fernandes de Carvalho
Tenured Professor. Department of Physical Therapy, University of São Paulo, São Paulo, Brazil.

Carlos Roberto Ribeiro de Carvalho
Tenured Associate Professor of Pulmonology. Department of Pulmonology, Instituto do Coração - InCor, Heart Institute - University of São Paulo School of Medicine Hospital das Clínicas, São Paulo, Brazil. Editor-in-Chief of the Brazilian Journal of Pulmonology.

Indexes

Development by:

© All rights reserved 2025 - Jornal Brasileiro de Pneumologia