Continuous and bimonthly publication
ISSN (on-line): 1806-3756

Licença Creative Commons
20241
Views
Back to summary
Open Access Peer-Reviewed
Original Article

Implementação de uma diretriz para pneumonia adquirida na comunidade em um hospital público no Brasil

Implementation of community-acquired pneumonia guidelines at a public hospital in Brazil

Lucieni Oliveira Conterno, Fábio Ynoe de Moraes, Carlos Rodrigues da Silva Filho

ABSTRACT

Objective: To implement community-acquired pneumonia (CAP) guidelines at a public hospital in Brazil and to evaluate the impact of these guidelines on health care quality. Methods: A quasi-experimental study, with a before-and-after design, involving adult patients diagnosed with CAP and hospitalized between July of 2007 and October of 2008 in the general ward of the Marília School of Medicine Hospital das Clínicas, located in the city of Marília, Brazil. Results: During the study period, 68 patients were diagnosed with CAP: 48 before the implementation of the guidelines and 20 after their implementation. After the implementation of the guidelines, 85% of the cases were treated in accordance with the guidelines, and there was a significant increase in the use of antibiotic therapy for atypical bacteria in patients with severe CAP (6.3% vs. 75.0%; p < 0.001). Comparing the pre-implementation and post-implementation periods, we observed a trend toward a decrease in the mortality (35.4% vs. 15.0%; p = 0.09) and toward an increase in the recording of SpO2 in the medical charts of the patients (18% vs. 30%; p = 0.42). During the study period, the degree of severity was not recorded on the medical charts of most patients. In addition, the initiation of antibiotic therapy followed a pre-established schedule, regardless of the severity of the infection. Conclusions: This study showed that, although the development and implementation of CAP guidelines promoted the optimization of the treatment, there were no significant differences regarding the assessment of severity, SpO2 recording, or the initiation of antibiotic therapy. Therefore, strategies that are more effective are needed in order to modify variables related to the work of physicians and nurses.

Keywords: Guideline adherence; Pneumonia; Health care quality, access, and evaluation; Community-acquired infections.

RESUMO

Objetivo: Implementar uma diretriz para pneumonia adquirida na comunidade (PAC) em um hospital público no Brasil e avaliar seu impacto na qualidade da assistência à saúde. Métodos: Estudo quasi-experimental com delineamento antes e depois que incluiu os pacientes adultos diagnosticados com PAC e internados na enfermaria geral do Hospital das Clínicas da Faculdade de Medicina de Marília, na cidade de Marília (SP), entre julho de 2007 e outubro de 2008. Resultados: Durante o período do estudo, 68 pacientes foram diagnosticados com PAC: 48 antes da implementação da diretriz e 20 após sua implementação. Após a implementação da diretriz, 85% dos casos foram tratados em conformidade com a diretriz, e houve um aumento significativo no uso de antibioticoterapia para germes atípicos nos casos de PAC grave (6,3% vs. 75,0%; p < 0,001). Houve uma tendência de diminuição da mortalidade (35,4% vs. 15,0%; p = 0,09) e de aumento do registro de SpO2 nos prontuários dos pacientes (18% vs. 30%; p = 0,42) após a implementação da diretriz. Durante o período do estudo, não houve registros da avaliação da gravidade nos prontuários da maioria dos pacientes. Além disso, o início da antibioticoterapia seguiu um esquema de horário pré-estabelecido, independentemente da gravidade do quadro infeccioso. Conclusões: Este estudo mostrou que a elaboração e a implementação da diretriz para PAC promoveu a otimização da escolha terapêutica, mas não houve diferenças significativas quanto à avaliação de gravidade, registro de SpO2 ou no início da antibioticoterapia, evidenciando que as variáveis que se relacionam ao processo de trabalho médico e de enfermagem exigem estratégias mais efetivas para serem modificadas.

Palavras-chave: Fidelidade a diretrizes; Pneumonia; Acesso e avaliação da qualidade da assistência à saúde; Infecções comunitárias adquiridas.

Introdução

A pneumonia adquirida na comunidade (PAC) é uma das principais causas de internação, particularmente entre pacientes idosos, e uma das principais causas de morte entre os pacientes hospitalizados no Brasil.(1-5) No entanto, existe uma grande variabilidade na assistência a pacientes com essa patologia.

Estudos têm demonstrado que a porcentagem de pacientes com diagnóstico de PAC que recebem antibioticoterapia nas primeiras quatro horas de internação é de aproximadamente 40%,(6) a concordância entre os antimicrobianos prescritos e os preconizados em diretrizes clínicas existentes pode variar de 5% a 50%, e poucos pacientes têm a oxigenação sanguínea avaliada. Algumas dessas variações, por terem sido associadas a uma maior mortalidade, passaram a ser consideradas indicadores de qualidade.(7,8)

Desde a década de 90, os Estados Unidos vêm propondo projetos nacionais visando avaliar a qualidade da assistência a pacientes com PAC; entre eles, o National Pneumonia Project e as iniciativas do Joint Commission on Accreditation of Healthcare Organizations. Dentre as medidas usadas na avaliação da qualidade da assistência a pacientes com PAC, podem-se enumerar a avaliação da oxigenação, a escolha do antibiótico - incluindo a cobertura para germes atípicos - o intervalo entre a chegada ao hospital e a administração do antibiótico, a mortalidade intra-hospitalar e os custos.(9)

Dado que muitas dessas variáveis podem ser traduzidas em ações passíveis de serem adotadas de forma sistemática na nossa realidade, decidimos elaborar uma diretriz clínica direcionada para a avaliação inicial do paciente com suspeita clínica de PAC, assim como medir o impacto dessa diretriz na qualidade da assistência.

Métodos

Foi realizado um estudo com delineamento quasi-experimental, de tipo antes e depois, na enfermaria geral de adultos do Hospital das Clínicas da Faculdade de Medicina de Marília (FAMEMA), localizado na cidade de Marília (SP), para avaliar o impacto da implementação de uma diretriz clínica de PAC.(10) Os dados de todos os pacientes adultos internados na enfermaria de clínica médica foram coletados, prospectivamente, no período entre julho de 2007 e outubro de 2008 (10 meses antes e 6 meses após a implementação da diretriz, respectivamente).

Os pacientes foram acompanhados desde a internação até a alta hospitalar. Além de dados gerais, foram coletadas informações para avaliar a qualidade da assistência (classificação da gravidade, avaliação da SpO2, tempo médio para o início da antibioticoterapia, grau de conformidade da antibioticoterapia como proposto pela diretriz e mortalidade).

Foi realizada a análise descritiva das variáveis em estudo. Os dados quantitativos foram apresentados como médias e desvios-padrão e comparados através do teste t de Student. Os dados qualitativos foram expressos em números absolutos (% de todos os casos) e analisados através do teste do qui-quadrado, utilizando, se necessário, a correção de Yates ou o teste exato de Fisher. Os dados foram digitados em um banco de dados no programa Microsoft Excel, sendo processados e analisados com o auxílio do programa Statistical Package for the Social Sciences, versão 19.0 (SPSS Inc., Chicago, IL, EUA). Todos os testes estatísticos utilizados foram bicaudais. Valores de p < 0,05 foram considerados estatisticamente significativos.

A intervenção na realidade foi a elaboração, implementação e disseminação da diretriz de PAC, o que incluiu a busca na literatura de evidências e de diretrizes clínicas existentes; a identificação de pessoas-chave e de formadores de opinião envolvidos na assistência direta aos pacientes ou responsáveis pela orientação de residentes; a elaboração da proposta inicial; e a discussão das sugestões através de contatos pessoais e via e-mail.

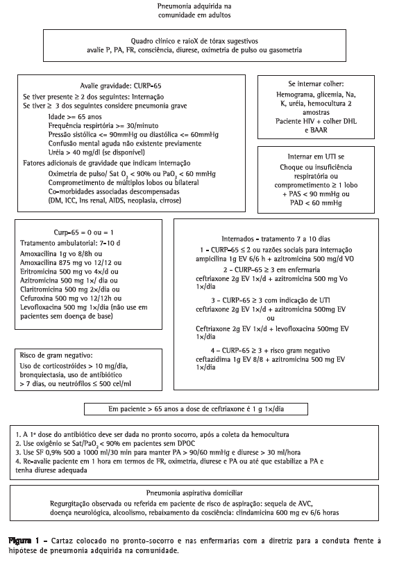
Para a elaboração da diretriz de PAC, adotamos o escore de predição de mortalidade denominada CURP-65 em português, que é um acrônimo dos seguintes parâmetros: Confusão mental (alteração do nível de consciência), Ureia > 40 mg/dL, frequência Respiratória > 30 ciclos/min, Pressão arterial sistólica < 90 mmHg ou pressão arterial diastólica < 60 mmHg e idade acima de 65 anos. Cada parâmetro representa um ponto do escore, e valores maiores correspondem a um maior risco de mortalidade. Selecionamos esse escore para a avaliação da gravidade por sua fácil aplicação e por ser de uso corrente em vários países.(11-13) Outros critérios de gravidade também foram incluídos: comprometimento de vários lobos ou comprometimento bilateral evidenciado em radiografia de tórax, SpO2 < 90% ou PaO2 < 60 mmHg e doença de base descompensada.

A orientação para o tratamento anti­microbiano considerou o padrão de sensibilidade do Streptococcus pneumoniae re­latado para o Brasil, a inclusão de um macrolídeo na terapêutica inicial das pneumonias graves, o local de internação do paciente e a presença ou não de fatores de risco para infecção por organismos gram negativos.(14-17)

Chamou-se a atenção para a necessidade de se iniciar o tratamento antimicrobiano o mais rapidamente possível após o diagnóstico ter sido estabelecido.(3,15,18,19)

Foi necessário incluir e disponibilizar regularmente no formulário farmacêutico macrolídeos ou fluoroquinolonas; comprar oxímetros digitais, disponibilizando-os nas enfermarias e no pronto-socorro para avaliar a gravidade clínica dos casos; e utilizar prescrição médica digitalizada para melhorar a clareza e diminuir erros, com a aquisição de computadores e impressoras para as salas de prescrição das enfermarias e do pronto-socorro.

Para disseminar essa diretriz, várias estratégias foram utilizadas, incluindo reuniões clínicas semanais, nas quais casos reais de pacientes internados foram utilizados para a avaliação das recomendações da diretriz; distribuição de material educativo contendo a diretriz, na forma de livretos de bolso, os quais foram distribuídos a todos os docentes, plantonistas, médicos do pronto-socorro, residentes e internos; e confecção de cartazes que sumariavam e sistematizavam as condutas iniciais a pacientes com PAC (Figura 1). Esses pôsteres foram afixados nas salas de prescrições das enfermarias e no pronto-socorro.
Todo material educativo foi disponibilizado nas páginas de acesso à internet da FAMEMA, podendo ser acessado e impresso por qualquer pessoa.





A realização deste estudo foi aprovada pelo Comitê de Ética em Pesquisa da FAMEMA, sob o número 066/07.

Resultados

Durante o período entre julho de 2007 e outubro de 2008, foram internados na enfermaria de clínica médica do Hospital das Clínicas da FAMEMA 102 pacientes com diagnóstico de infecção respiratória, sendo que 68 (66,6%) foram diagnosticados com PAC, 14 (13,7%) foram classificados como tendo pneumonia hospitalar, 10 (9,8%) apresentaram DPOC e infecção, e 10 (9,8%) não tiveram a hipótese diagnóstica de infecção confirmada. Dentre os 68 pacientes com PAC, 42 (61,8%) eram homens. A média de idade foi de 68,5 ± 19,2 anos (variação: 16-96 anos).

A média de permanência hospitalar foi de 17,2 ± 19,8 dias, sendo que a maioria dos pacientes deu entrada no hospital via pronto-socorro, com média de tempo de transferência para a enfermaria de 8 ± 5 h (Tabela 1).




Dos 68 pacientes diagnosticados com PAC, 6 (8,8%) foram tratados com ampicilina; 9 (13,2%) foram tratados com ciprofloxacina; 18 (26,5%) foram tratados com clindamicina; 7 (10,2%) foram tratados com cefalosporina com ação antipseudomonas; 43 (63,2%) foram tratados com ceftriaxona e associações de antimicrobianos, sendo que 18 (26,5%) foram tratados com ceftriaxona e azitromicina.

Somente no prontuário de 15 pacientes (22,0%), houve anotação da SpO2 na avaliação inicial. Em termos de gravidade, utilizando-se os critérios do escore CURP-65, verificou-se que 28 pacientes (42,6%) tiveram um escore ≤ 2 pontos e 39 (57,4%) tiveram um escore ≥ 3 pontos. Em 32 pacientes (47,1%), o quadro de infecção pulmonar teve repercussão sistêmica importante, colocando-os em condição de sepse grave. A mortalidade global observada foi de 29,4% (20/68). Não puderam ser computados os dados referentes ao momento preciso em que a primeira dose do antimicrobiano foi administrada.

Quando foram comparados os dados obtidos nos períodos pré e pós-implementação da diretriz clínica, verificou-se que a associação de um beta-lactâmico com um macrolídeo foi prescrita em 3 (6,3%) dos 48 casos antes da implementação das diretrizes e em 15 (75,0%) dos 20 casos após a implementação das diretrizes, sendo essa diferença estatisticamente significativa (p < 0,001). O uso de ciprofloxacina no tratamento de PAC foi abolido após a implantação das diretrizes (18% vs. 0% dos casos; p = 0,038).

Houve uma diferença estatisticamente significante na proporção de pacientes com diagnóstico de sepse ou sepse grave entre os dois períodos de avaliação: em 19 (39,6%) dos 48 casos no período pré-implementação e em 13 (65,0%) dos 20 casos no período pós-implementação das diretrizes (p = 0,05).

A mortalidade geral foi de, respectivamente, 35,4% e 15,0% nos períodos antes e após a implementação da diretriz. No entanto, essa diferença não atingiu significância estatística (p = 0,09).

Discussão

O objetivo primordial de elaborar e implementar a diretriz clínica de PAC foi melhorar a qualidade da assistência prestada aos pacientes internados na enfermaria de clínica médica do Hospital das Clínicas da FAMEMA, através de uma proposta que refletisse o melhor conhecimento científico existente, adaptado à realidade local, e avaliar seu impacto na qualidade da assistência.

A elaboração da diretriz clínica de PAC foi um processo difícil, pelo desafio que representou adaptar as evidências à nossa realidade estrutural e cultural, assim como pela tentativa de dar legitimidade à proposta, envolvendo os profissionais responsáveis diretamente pela assistência aos pacientes com PAC, particularmente os médicos do pronto-socorro.

Essa diretriz pretendeu interferir em todo o processo de assistência ao paciente com PAC, desde o atendimento inicial, ao propor a avaliação de gravidade através do escore CURP-65, a medição e a anotação da SpO2 nos prontuários de forma rotineira, assim como a utilização de um esquema antimicrobiano preconizado pela diretriz, iniciando-o ainda no pronto-socorro, a fim de que esse conjunto de ações pudesse, ao final, ter um impacto positivo na mortalidade.

Ao se avaliar a gravidade dos casos internados com PAC, observou-se que a maioria dos pacientes obteve três ou mais pontos pelos critérios CURP-65, o que justificaria a internação. No entanto, apesar de se dispor de informações que permitissem esse cálculo, não foi possível identificar o registro sistemático desse cálculo nos prontuários.

A falta de avaliação de gravidade pelo escore CURP-65 demonstra que os profissionais do pronto-socorro não o assimilaram como um instrumento para auxiliar a tomada de decisões. No entanto, nas discussões dos casos à beira do leito nas enfermarias, o escore CURP-65 era utilizado rotineiramente pelos preceptores e residentes, reforçando a hipótese de que essa foi uma dificuldade específica dos médicos do pronto-socorro.

Da mesma forma, a SpO2 por oximetria capilar foi registrada, respectivamente, em apenas 18% e 30% dos pacientes com PAC nos períodos pré e pós-implementação da diretriz, sem uma diferença estatisticamente significante entre os períodos (p = 0,42). Nossa hipótese é a de que esse parâmetro possa ter sido aferido, mas não registrado, evidenciando outro problema sério em nossa realidade, que são as falhas de registro em prontuários.

A cultura para um registro adequado e completo em prontuário precisa ser incentivada e auditada entre nós. O médico precisa ser convencido de que a documentação correta é essencial para que ele mesmo organize seu raciocínio, justifique sua conduta, embase seu diagnóstico e compartilhe essas informações com outros profissionais. Ao utilizar um parâmetro de gravidade, como a SpO2, o médico está estratificando pacientes que demandam maiores cuidados, devendo permanecer alerta pelo risco maior de complicações e de morte.

Historicamente, e aqui isso também foi observado, as anotações de prontuário foram consideradas precárias e problemáticas, muitas vezes não refletindo o que de fato foi realizado junto aos pacientes - condutas corretas ou incorretas - ou a real situação dos casos e, muitas vezes, essa falta de informações impossibilitava definir a coerência entre as condutas prescritas e a evolução encontrada.

A implementação da diretriz clínica de PAC contribuiu com avanços importantes relacionados principalmente à abordagem terapêutica. No período pós-implementação das diretrizes, a maioria dos pacientes recebeu antimicrobianos em conformidade com o que estava proposto: 17 (85%) dos 20 pacientes foram tratados com um beta-lactâmico, predominantemente uma cefalosporina de 3ª geração (ceftriaxona), sendo que merece destaque a cobertura para germes atípicos, realizada em 75% dos casos no período pós-implantação das diretrizes, em comparação a 6,3% no período pré-implantação, constituindo essa uma diferença estatisticamente significante (p < 0,001). Esse dado é muito importante, pois o uso de cefalosporinas de 2ª ou 3ª geração em conjunto com um macrolídeo tem sido associado à diminuição da mortalidade quando comparado ao uso isolado de uma cefalosporina.(20) Parou-se de usar ciprofloxacina como terapêutica para PAC, dado bastante relevante devido à ausência de ação dessa droga contra o pneumococo.

O diagnóstico de sepse/sepse grave, o qual foi mais frequentemente observado após a implantação da diretriz, provavelmente ocorreu devido a uma melhora no diagnóstico, e não a um aumento da prevalência em si, pois inexistia anteriormente qualquer sistematização em relação ao diagnóstico dessa condição, o que não deixa de ser uma alteração positiva.

O tempo entre a chegada do paciente com diagnóstico de PAC ao hospital e a administração do antimicrobiano tem sido considerado um parâmetro de qualidade da assistência, pois existem estudos demonstrando que a administração de antibióticos nas primeiras horas pode reduzir a mortalidade em 30%.(6)

O presente estudo não conseguiu alterar o momento da administração do antimicrobiano, pois os pacientes, via de regra, receberam a medicação nos horários fixos já estipulados, evidenciando-se a persistência de um processo arcaico de assistência, não focado nas necessidades do cliente, mas em uma rotina pré-estabelecida que é difícil de ser rompida.

Em 2008,(21) um grupo de autores, avaliando possíveis barreiras para a administração rápida e apropriada de antimicrobianos em pacientes com PAC, identificou como possíveis barreiras o conhecimento insuficiente sobre antimicrobianos, a intensidade da demanda dos serviços, a ausência de supervisão adequada aos residentes e as dificuldades relacionadas ao diagnóstico de PAC.

Esse foi um dos principais obstáculos que não conseguimos suplantar, pois aqui encontramos também problemas no primeiro atendimento ao paciente no pronto-socorro. Esses problemas estavam relacionados ao processo de trabalho, à logística de distribuição de medicamentos, à sobrecarga de pacientes com perfil nosológico e de gravidade muito diversos, ao número reduzido de funcionários, à demora na realização de radiografias e à falta de conhecimento da importância do momento de início do uso de antimicrobianos na evolução dos quadros infecciosos.

Em outros dois estudos,(22,23) foi sugerido que os pacientes têm maior possibilidade de receber o antimicrobiano no tempo adequado quando esse é administrado na emergência, sendo necessário que se reveja o processo de trabalho e que a farmácia do setor tenha um estoque dos antimicrobianos indicados nas diretrizes.

Nosso estudo não foi capaz de detectar uma diferença estatisticamente significativa na mortalidade, mas talvez possamos interpretar as diferenças encontradas (35,4% e 15,0% nos períodos pré e pós-implantação) como uma tendência, sendo necessário um tempo maior de observação e um número superior de casos. Estimou-se que seriam necessários pelo menos mais 10 casos no segundo período de avaliação para que essa diferença se mostrasse significante. Outra possibilidade é que a gravidade dos casos, que foi semelhante nos dois períodos e que é sabidamente um fator determinante de mortalidade, não tenha permitido que a implementação da diretriz modificasse a evolução, semelhante ao observado em um estudo realizado em 2004.(24)

A necessidade de se estabelecer um processo contínuo de auditoria foi identificada, sendo essencial que os preceptores tenham um envolvimento maior para que passem a realizar as discussões de casos, considerando as condutas referendadas pela diretriz, e que se empenhem em verificar as anotações nos prontuários.

Em conclusão, nosso estudo mostrou que a implementação dessa diretriz de PAC, até o momento de sua avaliação agora relatada, foi capaz de modificar o padrão da prescrição antimicrobiana, mas não de alterar o momento em que os pacientes receberam a primeira dose e nem de garantir a anotação da avaliação de gravidade e a documentação da SpO2 na abordagem inicial dos pacientes. Houve uma tendência de diminuição na mortalidade intra-hospitalar. Alterações nas condições de trabalho no pronto-socorro são fundamentais para que uma diretriz de PAC possa, de fato, ter impacto na qualidade da assistência em todas as suas dimensões.

As dificuldades encontradas podem ser devidas a fatores relacionados ao usuário (não conhecia ou não estava familiarizado com o que se estava sendo proposto, não concordava ou não se sentia capaz de adotar as recomendações, ou mesmo agiu por inércia); fatores de natureza estrutural (falta de tempo, excesso de demanda e processo de trabalho não sistematizado) ou por fatores da própria diretriz.(25)

A implementação de diretrizes clínicas sabidamente é um trabalho muito árduo que necessita ser realizado em fases sucessivas e com múltiplas estratégias redundantes e alinhadas para que se consiga que os aspectos relacionados ao conhecimento, à atitude e ao comportamento sejam alterados.(26-28) É preciso tempo, entusiasmo e recursos para que recomendações teóricas sejam incorporadas plenamente na rotina diária.


Referências


1. Levy ML, Le Jeune I, Woodhead MA, Macfarlaned JT, Lim WS; British Thoracic Society Community Acquired Pneumonia in Adults Guideline Group. Primary care summary of the British Thoracic Society Guidelines for the management of community acquired pneumonia in adults: 2009 update. Endorsed by the Royal College of General Practitioners and the Primary Care Respiratory Society UK. Prim Care Respir J. 2010;19(1):21-7.

2. McCabe C, Kirchner C, Zhang H, Daley J, Fisman DN. Guideline-concordant therapy and reduced mortality and length of stay in adults with community-acquired pneumonia: playing by the rules. Arch Intern Med. 2009;169(16):1525-31.

3. Corrêa Rde A, Lundgren FL, Pereira-Silva JL, Frare e Silva RL, Cardoso AP, Lemos AC, et al. Brazilian guidelines for community-acquired pneumonia in immunocompetent adults - 2009. J Bras Pneumol. 2009;35(6):574-601.

4. DATASUS [homepage on the Internet]. Brasília: Ministério da Saúde [cited 2008 Aug 10]. Available from: www.datasus.gov.br

5. Toyoshima MT, Ito GM, Gouveia N. Trends in morbidity for respiratory diseases among hospitalized patients in the city of São Paulo [Article in Portuguese]. Rev Assoc Med Bras. 2005;51(4):209-13.

6. Barlow G, Nathwani D, Davey P. The CURB65 pneumonia severity score outperforms generic sepsis and early warning scores in predicting mortality in community-acquired pneumonia. Thorax. 2007;62(3):253-9.

7. Reyes Calzada S, Martínez Tomas R, Cremades Romero MJ, Martínez Moragón E, Soler Cataluña JJ, Menéndez Villanueva R. Empiric treatment in hospitalized community-acquired pneumonia. Impact on mortality, length of stay and re-admission. Respir Med. 2007;101(9):1909-15.

8. Müller B, Harbarth S, Stolz D, Bingisser R, Mueller C, Leuppi J, et al. Diagnostic and prognostic accuracy of clinical and laboratory parameters in community-acquired pneumonia. BMC Infect Dis. 2007;7:10.

9. Lindenauer PK, Behal R, Murray CK, Nsa W, Houck PM, Bratzler DW. Volume, quality of care, and outcome in pneumonia. Ann Intern Med. 2006;144(4):262-9.

10. Harris AD, Bradham DD, Baumgarten M, Zuckerman IH, Fink JC, Perencevich EN. The use and interpretation of quasi-experimental studies in infectious diseases. Clin Infect Dis. 2004;38(11):1586-91.

11. Lim WS, van der Eerden MM, Laing R, Boersma WG, Karalus N, Town GI, et al. Defining community acquired pneumonia severity on presentation to hospital: an international derivation and validation study. Thorax. 2003;58(5):377-82.

12. Man SY, Lee N, Ip M, Antonio GE, Chau SS, Mak P, et al. Prospective comparison of three predictive rules for assessing severity of community-acquired pneumonia in Hong Kong. Thorax. 2007;62(4):348-53.

13. Bauer TT, Ewig S, Marre R, Suttorp N, Welte T; CAPNETZ Study Group. CRB-65 predicts death from community-acquired pneumonia. J Intern Med. 2006;260(1):93-101.

14. Arnold FW, Summersgill JT, Lajoie AS, Peyrani P, Marrie TJ, Rossi P, et al. A worldwide perspective of atypical pathogens in community-acquired pneumonia. Am J Respir Crit Care Med. 2007;175(10):1086-93.

15. Mandell LA, Wunderink RG, Anzueto A, Bartlett JG, Campbell GD, Dean NC, et al. Infectious Diseases Society of America/American Thoracic Society consensus guidelines on the management of community-acquired pneumonia in adults. Clin Infect Dis. 2007;44 (Suppl 2):S27-S72.

16. Macfarlane JT, Boldy D. 2004 update of BTS pneumonia guidelines: what's new? Thorax. 2004;59(5):364-6.

17. da Cunha CA, Sader HS, Nicodemo AC; Brazilian Society for Infectious Diseases Practice Guidelines Committee. Antimicrobial therapy for community-acquired pneumonia in adults. Braz J Infect Dis. 2002;6(2):82-7.

18. Houck PM, Bratzler DW, Nsa W, Ma A, Bartlett JG. Timing of antibiotic administration and outcomes for Medicare patients hospitalized with community-acquired pneumonia. Arch Intern Med. 2004;164(6):637-44.

19. Waterer GW, Kessler LA, Wunderink RG. Delayed administration of antibiotics and atypical presentation in community-acquired pneumonia. Chest. 2006;130(1):11-5.

20. Weiss K, Tillotson GS. The controversy of combination vs monotherapy in the treatment of hospitalized community-acquired pneumonia. Chest. 2005;128(2):940-6.

21. Barlow G, Nathwani D, Myers E, Sullivan F, Stevens N, Duffy R, et al. Identifying barriers to the rapid administration of appropriate antibiotics in community-acquired pneumonia. J Antimicrob Chemother. 2008;61(2):442-51.

22. Schouten JA, Hulscher ME, Kullberg BJ, Cox A, Gyssens IC, van der Meer JW, et al. Understanding variation in quality of antibiotic use for community-acquired pneumonia: effect of patient, professional and hospital factors. J Antimicrob Chemother. 2005;56(3):575-82.

23. Fine JM, Fine MJ, Galusha D, Petrillo M, Meehan TP. Patient and hospital characteristics associated with recommended processes of care for elderly patients hospitalized with pneumonia: results from the Medicare quality indicator system pneumonia module. Arch Intern Med. 2002;162(7):827-33.

24. Almeida, JR, Ferreira Filho OF. Pneumonias adquiridas na comunidade em pacientes idosos: aderência ao Consenso Brasileiro sobre pneumonias. J Pneumol. 2004;30(3):229-36.

25. Compton S, Lang E, Richardson TM, Hess E, Green J, Meurer W, et al. Knowledge translation consensus conference: research methods. Acad Emerg Med. 2007;14(11):991-5.

26. Grimshaw J, Eccles M, Tetroe J. Implementing clinical guidelines: current evidence and future implications. J Contin Educ Health Prof. 2004;24(Suppl 1):S31-7.

27. Grimshaw JM, Eccles MP. Is evidence-based implementation of evidence-based care possible? Med J Aust. 2004;180(6 Suppl):S50-1.

28. Cabana MD, Rand CS, Powe NR, Wu AW, Wilson MH, Abboud P, et al. Why don't physicians follow clinical practice guidelines? A framework for improvement. JAMA. 1999;282(15):1458-65.



* Trabalho realizado na Faculdade de Medicina de Marília, Marília (SP) Brasil.Endereço para correspondência: Lucieni Oliveira Conterno. Rua Zorobabel Silva Leite, 134, Residencial de Recreio Maria Isabel, Bairro  Maria Isabel, CEP 17515-500, Marília, SP, Brasil.Tel 55 14 3402-1831. E-mail: lucieni@famema.brApoio financeiro: Este estudo recebeu apoio financeiro da Fundação de Amparo à Pesquisa do Estado de São Paulo (FAPESP) através da linha de fomento de auxílio à pesquisa do Programa de Pesquisa para o Sistema Único de Saúde (PPSUS) - Políticas Públicas (Projeto: 06/61909-2).Recebido para publicação em 5/11/2010. Aprovado, após revisão, em 3/1/2011.



Sobre os autores

Lucieni Oliveira Conterno
Coordenadora. Disciplina de Infectologia e Núcleo de Epidemiologia Clínica, Faculdade de Medicina de Marília, Marília (SP) Brasil.

Fábio Ynoe de Moraes
Acadêmico de Medicina. Faculdade de Medicina de Marília, Marília (SP) Brasil.

Carlos Rodrigues da Silva Filho
Coordenador. Disciplina de Clínica Médica, Faculdade de Medicina de Marília, Marília (SP) Brasil.

Indexes

Development by:

© All rights reserved 2025 - Jornal Brasileiro de Pneumologia