ABSTRACT
Objective: To investigate four parameters defining maximal respiratory pressures and to evaluate their correlations and agreements among those parameters for the determination of MIP and MEP. Methods: This was a cross-sectional study involving 49 healthy, well-nourished males and females. The mean age was 23.08 ± 2.5 years. Measurements were carried out using a pressure transducer, and the estimated values for the parameters peak pressure (Ppeak), plateau pressure (Pplateau), mean maximal pressure (Pmean), and pressure according to the area (Parea) were determined with an algorithm developed for the study. To characterize the study sample, we used descriptive statistics, followed by repeated measures ANOVA and Bonferroni post hoc test or by the Friedman test and the Wilcoxon post hoc test, as well as by Pearson's or Spearman's correlation coefficients, depending on the normality of the data. The agreement between the variables was assessed with Bland Altman plots. Results: There were significant differences among all of the parameters studied for MIP (Ppeak = 95.69 ± 27.89 cmH2O; Parea = 88.53 ± 26.45 cmH2O; Pplateau = 82.48 ± 25.11 cmH2O; Pmean = 89.01 ± 26.41 cmH2O; p < 0.05 for all) and for MEP (Ppeak = 109.98 ± 40.67 cmH2O; Parea = 103.85 ± 36.63 cmH2O; Pplateau = 98.93 ± 32.10 cmH2O; Pmean = 104.43 ± 36.74 cmH2O; p < 0.0083 for all). Poor agreement was found among almost all of the parameters. Higher pressure values resulted in larger differences between the variables. Conclusions: The maximal respiratory pressure parameters evaluated do not seem to be interchangeable, and higher pressure values result in larger differences among the parameters.
Keywords:
Respiratory system; Muscle strength; Respiratory function tests.
RESUMO
Objetivo: Investigar quatro parâmetros de definição de pressão respiratória máxima e avaliar suas correlações e concordância para medidas de PImáx e PEmáx. Métodos: Estudo transversal com 49 sujeitos saudáveis, eutróficos, de ambos os sexos, com média de idade de 23,08 ± 2,50 anos. As medidas foram realizadas utilizando-se um transdutor de pressão, e os parâmetros foram estimados a partir de um algoritmo matemático desenvolvido para a pesquisa: pressões de pico (Ppico), de platô (Pplatô), média máxima (Pmédia) e segundo a área (Párea). Foi empregada a estatística descritiva para caracterização da amostra, seguida por ANOVA para medidas repetidas e teste post hoc de Bonferroni ou teste de Friedman e teste post hoc de Wilcoxon, assim como correlações de Pearson ou Spearman, segundo a normalidade dos dados. A concordância entre as variáveis foi avaliada pelo método gráfico de Bland Altman. Resultados: Houve diferenças significativas entre todos os parâmetros, tanto para PImáx (Ppico = 95,69 ± 27,89 cmH2O; Párea = 88,53 ± 26,45 cmH2O; Pplatô = 82,48 ± 25,11 cmH2O; Pmédia = 89,01 ± 26,41 cmH2O; p < 0,05 entre todos) quanto para PEmáx (Ppico = 109,98 ± 40,67 cmH2O; Párea = 103,85 ± 36,63 cmH2O; Pplatô = 98,93 ± 32,10 cmH2O; Pmédia = 104,43 ± 36,74 cmH2O; p < 0,0083 entre todos). Houve baixa concordância entre a maior parte das medidas, sendo as diferenças entre os parâmetros maiores quanto mais elevados os valores pressóricos considerados. Conclusões: Os parâmetros avaliados não são intercambiáveis, sendo as diferenças entre eles maiores à medida que valores pressóricos mais elevados são atingidos.
Palavras-chave:
Sistema respiratório; Força muscular; Testes de função respiratória.
IntroduçãoDentre os métodos de mensuração disponíveis para a avaliação da força muscular respiratória, destaca-se, por sua ampla utilização na prática clínica, a medida das pressões respiratórias máximas em nível da boca: PImáx e PEmáx. As bases metodológicas desse método de avaliação, bem como os primeiros valores de referência para indivíduos saudáveis, datam da década de 1960.(1,2) Desde então, diversos valores de referência e equações preditivas têm sido sugeridos na literatura,(3) apresentando em comum uma ampla variabilidade de resultados. Tal fato pode ser atribuído, ao menos em parte, a diferenças nas metodologias de avaliação empregadas pelos autores.(4,5) Como fatores metodológicos intervenientes, cuja influência sobre os resultados já foi discutida na literatura, podemos citar o número de manobras realizadas pelos indivíduos,(6-8) escolha da peça bucal(9) e das interfaces,(10) presença e dimensões do orifício de escape aéreo(11) e parâmetros utilizados para definição de pressão máxima.(12)
Na literatura internacional, a proposta de padronização metodológica mais recente para a realização das medidas das pressões respiratórias máximas foi feita pela American Thoracic Society (ATS) em parceria com a European Respiratory Society (ERS)(5) em 2002. Dentre as recomendações propostas, está a utilização de transdutores de pressão em substituição aos manômetros aneroides, que, embora utilizados historicamente, apresentam limitações importantes.(13) Entretanto, os parâmetros considerados para a definição da pressão máxima através do uso de transdutores de pressão ainda são motivo de debate. A partir da curva pressórica gerada durante os testes, pode-se considerar a pressão máxima como sendo o valor máximo alcançado - pressão de pico (Ppico) - o maior valor sustentado durante um período mínimo - pressão de platô (Pplatô) - ou ainda o maior valor médio sustentado durante um segundo - pressão média máxima (Pmédia).(4) Foi sugerida a utilização da pressão mantida por um segundo em detrimento da Ppico, por essa ser considerada mais reprodutível.(13) Entretanto, tal recomendação não foi baseada em evidências, motivo que levou a realização de um amplo estudo(12) que comparou a utilização de Ppico e Pplatô para a caracterização da PImáx. Foram encontradas reprodutibilidades semelhantes para as duas variáveis, embora os valores absolutos das Ppico fossem significativamente mais elevados. Resultados semelhantes foram apresentados por outros autores para Ppico e Pplatô,(14,15) assim como para Ppico e Pmédia.(10)
Acredita-se que a escolha do parâmetro de definição da pressão máxima seja capaz de influenciar diretamente a interpretação e a confiabilidade dos resultados dos testes. Entretanto, não foram encontrados estudos que realizassem uma comparação sistemática entre os valores de Ppico, Pplatô e Pmédia para medidas de PImáx e PEmáx. Sendo assim, o objetivo do presente estudo foi investigar diferentes parâmetros de definição de pressão máxima descritos na literatura, além de avaliar as correlações e a concordância entre os parâmetros estudados.
MétodosForam convidados a participar do presente estudo indivíduos jovens e saudáveis, de ambos os sexos, com idade superior a 18 anos, pertencentes à comunidade acadêmica da Universidade Federal de Juiz de Fora, em Juiz de Fora (MG), através da divulgação oral da pesquisa entre acadêmicos dos cursos de fisioterapia e educação física. Após contato pessoal, realizado por um dos pesquisadores, com os indivíduos interessados em participar do estudo, foram convidados a realizar as avaliações aqueles que contemplavam os critérios de inclusão, constituindo assim uma amostra por conveniência. Os critérios de exclusão foram os seguintes: hábito tabágico atual, obesidade, caracterizada por índice de massa corpórea (IMC) 30 kg/m2, ou desnutrição (IMC < 18,5 kg/m2),(16) infecção das vias aéreas superiores nas duas semanas anteriores à coleta dos dados,(17,18) relato de diagnóstico de doenças pulmonares, cardiovasculares ou neuromusculares(3) e uso contínuo de corticosteroide oral ou inalatório ou de qualquer outro medicamento que pudesse interferir na contratilidade da musculatura esquelética.(19)
O presente estudo foi aprovado pelo Comitê de Ética e Pesquisa em Seres Humanos do Hospital Universitário da Universidade Federal de Juiz de Fora (Parecer nº 0121/2009), e todos os participantes assinaram o termo de consentimento livre e esclarecido.
Inicialmente, foram avaliadas as características antropométricas de todos os voluntários (massa corpórea, estatura e IMC), utilizando-se uma balança antropométrica com estadiômetro acoplado (LD1050; Líder, Araçatuba, SP, Brasil). Em seguida, foram realizadas as medidas da pressão arterial e da FC de repouso.(20) Em todos os casos, por tratarem-se de medidas altamente dependentes de esforço e objetivando-se garantir a segurança das avaliações, os testes subsequentes só tiveram início caso a pressão arterial do voluntário estivesse abaixo de 180/110 mmHg(10) e a FC estivesse abaixo de 85% da FC máxima estimada pela idade.(10,21)
Todos os participantes foram submetidos à avaliação espirométrica (MasterScreen PFT; Jaeger, Würzburg, Alemanha). A calibração a volume do equipamento era realizada diariamente, previamente às avaliações, com seringa de 3 L (Jaeger). Foram considerados para a análise os parâmetros CVF, VEF1 e relação VEF1/CVF. Os testes foram conduzidos sempre por um mesmo avaliador, de acordo com os critérios de aceitabilidade e reprodutibilidade preconizados pela ATS.(22) Foram utilizados como valores de referência aqueles reportados por Knudson et al.(23)
As medidas das pressões respiratórias máximas foram realizadas com os indivíduos na posição sentada, utilizando clipe nasal e bocal de borracha semirrígido, tipo mergulhador (Jaeger), dotado de um orifício de 2 mm de diâmetro interno.(5) Foi utilizado um transdutor de pressão (EMG System do Brasil Ltda., São José dos Campos, SP, Brasil), com extremidade distal fechada, placa de conversão analógica/digital de 16 bits de resolução, filtros passa alta com frequência de corte de 20 Hz e filtros passa baixa com frequência de corte de 500 Hz (filtro analógico do tipo Butterworth de dois polos) e frequência de amostragem de 240 Hz. Antes do início da coleta de dados, o equipamento foi calibrado contra uma coluna de água pelo fabricante, gerando-se um arquivo de calibração, que foi salvo e utilizado em todas as avaliações posteriores. Parte dos voluntários relatou apresentar familiaridade com as medidas das pressões respiratórias máximas; entretanto, não houve nenhum relato de experiência prévia quanto à utilização de bocais tipo mergulhador durante as avaliações. Os voluntários não tinham ciência dos objetivos do estudo, e todos os testes foram conduzidos por um mesmo avaliador.
Foi realizado um sorteio para definir, entre as medidas de PImáx e PEmáx, qual seria realizada primeiramente. Para as medidas de PImáx, os indivíduos eram solicitados a realizar uma expiração completa até o VR; em seguida, conectar-se ao bocal e realizar um esforço inspiratório máximo. Já para as medidas de PEmáx, os voluntários eram solicitados a inspirar completamente até a CPT, conectar-se ao bocal e realizar um esforço expiratório máximo(24) com concomitante sustentação das bochechas com as mãos. Foram realizadas duas tentativas de aprendizado para cada variável,(3) seguidas por três tentativas de teste.
Para garantir a reprodutibilidade das medidas, os dois maiores valores alcançados nas três tentativas pós-aprendizado não poderiam diferir entre si mais do que 10%.(24) Caso isso ocorresse, os testes tinham prosseguimento até que fossem alcançados dois valores reprodutíveis, em número máximo de seis tentativas. Para a avaliação da reprodutibilidade, utilizou-se o valor de pico,(12) uma vez que, dadas as possibilidades oferecidas pelo programa utilizado, esse era o único parâmetro passível de mensuração objetiva durante as avaliações. Além disso, para serem aceitas, as manobras deveriam ter duração igual ou superior a 5 s, determinada através de um cronômetro digital (Cronobio SW2018; Pastbio, São Paulo, SP, Brasil), pois, durante a fase dos testes piloto, foi observado que parte dos voluntários não atingia seus valores de pico antes de 3 s de manobra. Adicionalmente, não poderia haver vazamentos (escape de ar) ao redor do bocal durante a execução das manobras.(24) Os voluntários receberam forte estímulo verbal por parte do avaliador e puderam descansar por 1 min ou mais, entre cada uma das tentativas,(24,25) de acordo com o relato subjetivo de cansaço pessoal.
Após a realização dos testes, as curvas de pressões respiratórias máximas foram selecionadas através do programa WinDaq® versão 3.36 (Dataq Instruments, Akron, OH, EUA), salvas em formato eletrônico (Microsoft Excel) e então exportadas para análise no programa matemático Matlab® R2009a (The MathWorks®, Natick, MA, EUA; licença de uso obtida a partir do projeto FAPEMIG nº APQ 01284/09), através de algoritmo desenvolvido para a pesquisa.
Dentre as três curvas de pressões respiratórias que atingiram os critérios de aceitabilidade e reprodutibilidade para cada uma das medidas de PImáx e PEmáx, a de maior valor absoluto de pico foi utilizada para os cálculos posteriores, e seus valores foram expressos sempre em termos absolutos. Com base nas definições propostas por Evans e Whitelaw,(4) os parâmetros Ppico, Pplatô e Pmédia foram calculados. Ppico: maior valor pressórico atingido durante o teste. Pplatô: maior valor de pressão sustentado durante 1 s. O cálculo dessa variável foi realizado através da utilização de uma janela móvel, de 240 amostras de comprimento (equivalente a 1 s), que buscava, ao longo de toda curva, os valores pressóricos sustentados durante intervalos de 1 s, com a posterior seleção do maior valor. Pmédia: maior valor médio apresentado pelas amostras contidas em um intervalo de 1 s. O cálculo dessa variável também foi realizado através de janela móvel, com 240 amostras de comprimento, que buscava, ao longo de toda curva, os valores de média contidos em intervalos de 1 s. A estimativa foi realizada através do somatório de todos os valores pressóricos contidos na janela e a subsequente divisão de cada resultado por 240, sendo posteriormente selecionado para a análise o maior valor. Além dos parâmetros descritos, foi calculada a pressão máxima segundo a área (Párea), conforme sugerido por Windisch et al.(12) Essa variável foi estimada através da utilização de janela móvel de 240 amostras de comprimento, utilizando-se o método dos trapézios(26) para o cálculo das áreas. Após a obtenção de todos os valores de área contidos em intervalos de 1 s da curva pressórica, o maior valor foi selecionado para a análise.
Em todos os casos, foram considerados como valores máximos aqueles alcançados em qualquer momento do teste.
Na análise estatística, as variáveis antropométricas e espirométricas, assim como a idade dos voluntários, foram utilizadas para a caracterização da amostra e expressas em termos de média e desvio-padrão.
A normalidade dos dados foi avaliada através do teste de Kolmogorov-Smirnov. Nos casos em que as variáveis apresentaram distribuição normal, utilizou-se ANOVA para medidas repetidas, seguido pelo teste post hoc de Bonferroni. Nos casos em que as variáveis não apresentaram distribuição normal, foi utilizado o teste de Friedman, seguido pelo teste post hoc de Wilcoxon com correção de Bonferroni (nível de significância ajustado para p < 0,0083). Foram calculadas ainda as correlações (de Pearson ou de Spearman, de acordo com a normalidade dos dados) entre as variáveis estudadas. Em todos os casos (exceto para o teste post hoc de Wilcoxon), considerou-se um nível de significância de 5%. A concordância entre os diferentes parâmetros foi avaliada através do método gráfico de Bland Altman.(27)
ResultadosDentre os indivíduos que aceitaram participar da pesquisa, 50 contemplaram os critérios de inclusão, sendo que 1 deles, por motivos pessoais, não pôde comparecer a todos os procedimentos de teste e, por esse motivo, foi excluído da análise dos resultados. Sendo assim, a amostra final foi constituída por 49 indivíduos saudáveis, de ambos os sexos (23 homens e 26 mulheres), com média de idade de 23,08 ± 2,50 anos, massa corpórea de 66,63 ± 11,05 kg, estatura de 168,9 ± 8,56 cm e IMC de 23,22 ± 2,44 kg/m2. As variáveis espirométricas obtidas a partir das provas de função pulmonar apresentaram os seguintes valores médios, expressos em % do predito(23): VEF1 = 103,8 ± 11,14%; CVF = 102,47 ± 9,46% e relação VEF1/CVF = 98,63 ± 7,11%.
Dos 49 indivíduos avaliados, 3 afirmaram haverem fumado anteriormente. Entretanto, todos já haviam cessado o hábito e apresentaram valores espirométricos dentro dos parâmetros da normalidade, não sendo excluídos da amostra.
A Tabela 1 apresenta os valores dos parâmetros Ppico, Párea, Pplatô e Pmédia, obtidos durante as medidas de PImáx e PEmáx. Pode-se observar que houve diferenças significativas entre todos os parâmetros de definição de pressão máxima estudados, tanto para as medidas de PImáx, quanto para as de PEmáx. A Figura 1 apresenta os gráficos do tipo box plot das variáveis estudadas.


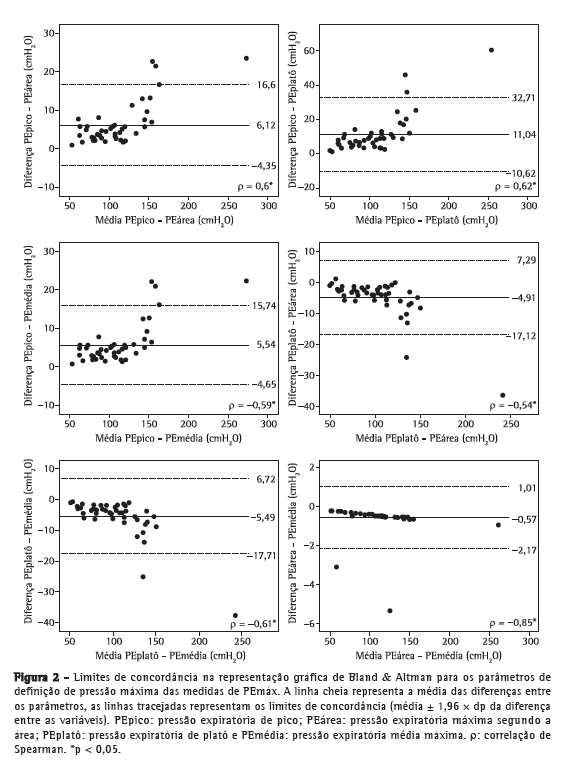
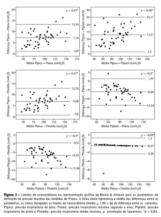
Os limites de concordância entre os parâmetros, definidos como média ± 1,96 × dp da diferença entre as variáveis, foram calculados através do método gráfico de Bland Altman(27) e podem ser observados nas Figuras 2 e 3. A análise visual dos gráficos permitiu identificar uma tendência à existência de relação entre as diferenças das variáveis e seus valores médios. Essa hipótese foi testada através da correlação de Spearman, e os resultados encontram-se nas Figuras 2 e 3.

DiscussãoEstudos anteriores, realizados com indivíduos saudáveis(10,12,15) e com portadores de doenças pulmonares crônicas,(14) mostraram valores de Ppico significativamente mais elevados que valores de Pplatô e de Pmédia. Os resultados obtidos no presente estudo corroboram tais achados, e sua relevância clínica evidencia-se frente à constatação de que a maior parte dos valores de referência para PImáx e PEmáx publicados até o presente momento baseia-se nas Pplatô sustentadas durante 1 s.(4) Assim, o emprego de diferentes parâmetros de definição de pressões máximas em equações ou tabelas de predição derivadas de valores de Pplatô pode levar a interpretações equivocadas acerca da força muscular respiratória dos sujeitos avaliados. Entretanto, uma vez que o presente estudo foi realizado com indivíduos saudáveis, novas pesquisas são necessárias para verificar se a utilização de parâmetros de definição de pressão máxima distintos poderia influenciar na detecção e classificação da fraqueza muscular respiratória em indivíduos com comprometimento dessa musculatura.
O cálculo das correlações lineares entre as variáveis evidenciou que essas se apresentaram fortemente correlacionadas entre si, com valores situados sempre acima de 0,9 (Tabela 2). De fato, uma vez que derivam de uma mesma curva pressórica, não surpreende a forte correlação encontrada entre os diferentes parâmetros calculados. Esses resultados estão de acordo com os descritos na literatura(12) para valores de Ppico e Pplatô da PImáx. Segundo os autores, os elevados valores de correlação observados indicariam que essas variáveis seriam refletidas uma pela outra. Entretanto, assim como no estudo mencionado,(12) os parâmetros, embora fortemente correlacionados, se apresentaram estatisticamente diferentes entre si, indicando que a opção por um deles pode influenciar na caracterização da força muscular respiratória dos sujeitos avaliados.

A partir das análises de concordância entre os parâmetros investigados (Figuras 2 e 3), pode-se observar que, de modo geral, houve baixa concordância entre as variáveis estudadas, especialmente entre o parâmetro Ppico e as demais variáveis. Tal fato poderia ser esperado, considerando-se a existência de diferenças estatisticamente significativas entre os parâmetros avaliados. Por outro lado, chama a atenção o estreito limite de concordância obtido entre as variáveis Párea e Pmédia, tanto para as medidas de PImáx, quanto para as medidas de PEmáx. Sendo assim, pode-se questionar se a diferença entre os parâmetros Párea e Pmédia, embora estatisticamente significativa, é relevante do ponto de vista clínico, dada a elevada concordância observada entre essas duas variáveis.
Foi possível ainda observar a existência de correlações significativas entre as diferenças e as médias das variáveis investigadas, indicando a ocorrência de maiores diferenças entre os parâmetros à medida que valores pressóricos mais elevados são alcançados. Dessa forma, é possível questionar se, em indivíduos com comprometimento muscular respiratório, dos quais se espera valores pressóricos mais baixos, as diferenças entre os parâmetros de definição de pressão máxima também seriam significativas. Novas pesquisas são necessárias para investigar essa hipótese.
Um fator importante a ser considerado em estudos que objetivem investigar diferentes parâmetros de definição de pressão máxima relaciona-se aos métodos empregados para o cálculo das variáveis. Os trabalhos encontrados na literatura relatam a utilização de metodologias por vezes distintas: as definições de Ppico incluem ser essa a pressão mantida por 0,01 s após o início de registro pressórico,(14) bem como o maior valor pressórico exercido durante o teste.(10,12) Em relação à Pplatô, essa já foi definida como sendo a pressão sustentada durante o intervalo de 1,0 s(14) e 0,5 s.(12) Já em relação à Pmédia, há o relato(10) de seu cálculo como o valor médio das pressões registradas em torno do pico pressórico, durante o tempo de 1 s. Assim, evidencia-se a necessidade de uma padronização metodológica não apenas do emprego, mas também dos critérios de cálculo para os diferentes parâmetros de definição de pressão máxima. Entretanto, novos estudos são necessários para investigar se critérios de cálculo distintos para uma mesma variável podem influenciar de maneira significativa os valores pressóricos obtidos.
Dentre as limitações do presente estudo, podemos citar os valores de referência para espirometria utilizados para a caracterização da amostra,(23) visto que os valores de referência mais recentes propostos para a população brasileira(28) são, em média, maiores que os propostos por Knudson et al.(23) Entretanto, esses últimos foram similares aos obtidos experimentalmente em uma amostra de indivíduos normais de ambos os sexos no Brasil, havendo diferença significativa apenas com relação à CVF para o sexo masculino.(29) Assim, considerando-se que os valores espirométricos médios da amostra avaliada no presente estudo situaram-se muito próximos ou acima dos valores máximos previstos, torna-se improvável que sujeitos com valores abaixo da normalidade tenham sido selecionados.
Outra possível limitação relaciona-se ao número de tentativas utilizado para a mensuração das pressões respiratórias máximas (duas tentativas de aprendizado mais três tentativas de teste, perfazendo um total de cinco manobras). De fato, trabalhos realizados com crianças(8) e adultos(6,7) com alterações respiratórias e doenças pulmonares crônicas, respectivamente, constataram serem necessárias de nove a dez manobras para se mensurar adequadamente a PImáx. Entretanto, no presente estudo, objetivando aproximar os resultados alcançados daqueles obtidos na prática clínica, optamos por utilizar as recomendações metodológicas mais atuais para a avaliação das pressões respiratórias máximas, que variam entre o mínimo de três(13) e o máximo de cinco tentativas.(24)
Concluindo, os parâmetros de definição de pressão máxima avaliados não podem ser considerados intercambiáveis, uma vez que foram evidenciadas baixa concordância (exceto entre os parâmetros Párea e Pmédia) e diferenças significativas entre os mesmos. Além disso, as diferenças foram maiores à medida que valores pressóricos mais elevados foram alcançados. Novas pesquisas são necessárias para determinar se a utilização de diferentes parâmetros pode influenciar a caracterização da força muscular de indivíduos com fraqueza muscular respiratória.
Referências1. Ringqvist T. The ventilatory capacity in healthy subjects. An analysis of causal factors with special reference to the respiratory forces. Scand J Clin Lab Invest Suppl. 1966;88:5-179. PMid:4283858.
2. Black LF, Hyatt RE. Maximal respiratory pressures: normal values and relationship to age and sex. Am Rev Respir Dis. 1969;99(5):696-702. PMid:5772056.
3. Parreira VF, França DC, Zampa CC, Fonseca MM, Tomich GM, Britto RR. Pressões respiratórias máximas: valores encontrados e preditos em indivíduos saudáveis. Rev Bras Fisioter. 2007;11(5):361-8. http://dx.doi.org/10.1590/S1413-35552007000500006
4. Evans JA, Whitelaw WA. The assessment of maximal respiratory mouth pressures in adults. Respir Care. 2009;54(10):1348-59. PMid:19796415.
5. American Thoracic Society/European Respiratory Society. ATS/ERS Statement on respiratory muscle testing. Am J Respir Crit Care Med. 2002;166(4):518-624. PMid:12186831. http://dx.doi.org/10.1164/rccm.166.4.518
6. Fiz JA, Montserrat JM, Picado C, Plaza V, Agusti-Vidal A. How many manoeuvres should be done to measure maximal inspiratory mouth pressure in patients with chronic airflow obstruction? Thorax. 1989;44(5):419-21. PMid:2763242 PMCid:461850. http://dx.doi.org/10.1136/thx.44.5.419
7. Larson JL, Covey MK, Vitalo CA, Alex CG, Patel M, Kim MJ. Maximal inspiratory pressure. Learning effect and test-retest reliability in patients with chronic obstructive pulmonary disease. Chest. 1993;104(2):448-53. PMid:8339633. http://dx.doi.org/10.1378/chest.104.2.448
8. Wen AS, Woo MS, Keens TG. How many maneuvers are required to measure maximal inspiratory pressure accurately. Chest. 1997;111(3):802-7. PMid:9118723. http://dx.doi.org/10.1378/chest.111.3.802
9. Onaga FI, Jamami M, Ruas G, Lorenzo VA, Jamami LK. Influência de diferentes tipos de bocais e diâmetros de traqueias na manovacuometria. Fisioter Mov. 2010;23(2):211-9. http://dx.doi.org/10.1590/S0103-51502010000200005
10. Montemezzo D, Vieira DS, Tierra-Criollo CJ, Britto RR, Velloso M, Parreira VF. Influence of 4 interfaces in the assessment of maximal respiratory pressures. Respir Care. 2012;57(3):392-8. PMid:22005049. http://dx.doi.org/10.4187/respcare.01078
11. Mayos M, Giner J, Casan P, Sanchis J. Measurement of maximal static respiratory pressures at the mouth with different air leaks. Chest. 1991;100(2):364-6. PMid:1864106. http://dx.doi.org/10.1378/chest.100.2.364
12. Windisch W, Hennings E, Sorichter S, Hamm H, Criée CP. Peak or plateau maximal inspiratory mouth pressure: which is best? Eur Respir J. 2004;23(5):708 13. PMid:15176684. http://dx.doi.org/10.1183/09031936.04.00136104
13. Green M, Road J, Sieck GC, Similowski T. Tests of respiratory muscle strength. Am J Respir Crit Care Med. 2002;166:528-47.
14. Brunetto AF, Alves LA. Comparação entre os valores de pico e sustentados das pressões respiratórias máximas em indivíduos saudáveis e pacientes portadores de pneumopatia crônica. J Pneumol. 2003;29(4):208-12.
15. Smyth RJ, Chapman KR, Rebuck AS. Maximal inspiratory and expiratory pressures in adolescents. Normal values. Chest. 1984;86(4):568-72. PMid:6478896. http://dx.doi.org/10.1378/chest.86.4.568
16. Associação Brasileira para o Estudo da Obesidade e da Síndrome Metabólica. Diretrizes brasileiras de obesidade. Brasil: Associação Brasileira para o Estudo da Obesidade e da Síndrome Metabólica; 2009.
17. Mier-Jedrzejowicz A, Brophy C, Green M. Respiratory muscle weakness during upper respiratory tract infections. Am Rev Respir Dis. 1988;138(1):5-7. http://dx.doi.org/10.1164/ajrccm/138.1.5
18. Volianitis S, McConnell AK, Jones DA. Assessment of maximum inspiratory pressure. Prior submaximal respiratory muscle activity ('warm-up') enhances maximum inspiratory activity and attenuates the learning effect of repeated measurement. Respiration. 2001;68(1):22-7. PMid:11223726. http://dx.doi.org/10.1159/000050458
19. Harik-Khan RI, Wise RA, Fozard JL. Determinants of maximal inspiratory pressure. The Baltimore Longitudinal Study of Aging.
20. Am J Respir Crit Care Med. 1998;158(5 Pt 1):1459-64. PMid:9817693.
21. Porto CC. Exame clínico: bases para a prática médica. Rio de Janeiro: Guanabara Koogan; 2004.
22. Lauer M, Froelicher ES, Williams M, Kligfield P; American Heart Association Council on Clinical Cardiology, Subcommittee on Exercise, Cardiac Rehabilitation, and Prevention. Exercise testing in asymptomatic adults: a statement for professionals from the American Heart Association Council on Clinical Cardiology, Subcommittee on Exercise, Cardiac Rehabilitation, and Prevention. Circulation. 2005;112(5):771-6. PMid:15998671. http://dx.doi.org/10.1161/CIRCULATIONAHA.105.166543
23. Miller MR, Hankinson J, Brusasco V, Burgos F, Casaburi R, Coates A, et al. Standardisation of spirometry. Eur Respir J. 2005;26(2):319-38. PMid:16055882. http://dx.doi.org/10.1183/09031936.05.00034805
24. Knudson RJ, Lebowitz MD, Holberg CJ, Burrows B. Changes in the normal maximal expiratory flow-volume curve with growth and aging. Am Rev Respir Dis. 1983;127(6):725 34. PMid:6859656.
25. Souza RB. Pressões respiratórias estáticas máximas. J Bras Pneumol. 2002;28(Suppl 3):S155-S165.
26. Neder JA, Andreoni S, Lerario MC, Nery LE. Reference values for lung function tests. II. Maximal respiratory pressures and voluntary ventilation. Braz J Med Biol Res. 1999;32(6):719-27. http://dx.doi.org/10.1590/S0100-879X1999000600007
27. Santos JD, Silva ZC. Métodos numéricos. Recife: Editora Universitária UFPE; 2006.
28. Bland JM, Altman DG. Statistical methods for assessing agreement between two methods of clinical measurement. Lancet. 1986;1(8476):307-10. http://dx.doi.org/10.1016/S0140-6736(86)90837-8
29. Pereira CA, Sato T, Rodrigues SC. New reference values for forced spirometry in white adults in Brazil. J Bras Pneumol. 2007;33(4):397-406. PMid:17982531. http://dx.doi.org/10.1590/S1806-37132007000400008
30. Duarte AA, Pereira CA, Rodrigues SC. Validation of new Brazilian predicted values for forced spirometry in Caucasians and comparison with predicted values obtained using other reference equations. J Bras Pneumol. 2007;33(5):527-35. PMid:18026650.
Trabalho realizado na Faculdade de Educação Física e Desportos, Universidade Federal de Juiz de Fora, Juiz de Fora (MG) Brasil.
Endereço para correspondência: Cristina Martins Coelho. Rua Carlita de Assis Pereira, 30, Bosque dos Pinheiros, CEP 36062-050, Juiz de Fora, MG, Brasil. Tel/Fax: 55 32 3215-1385. E-mail: cristina_fisiojf@yahoo.com.br
Apoio financeiro: Este estudo recebeu apoio financeiro da Fundação de Amparo à Pesquisa do Estado de Minas Gerais (FAPEMIG).
Recebido para publicação em 19/12/2011. Aprovado, após revisão, em 5/9/2012.
Sobre os autoresCristina Martins Coelho
Fisioterapeuta. Universidade Federal de Juiz de Fora, Juiz de Fora (MG) Brasil.
Rosa Maria de Carvalho
Professora. Universidade Federal de Juiz de Fora, Juiz de Fora (MG) Brasil.
David Sérgio Adães Gouvêa
Professor. Universidade Federal de Juiz de Fora, Juiz de Fora (MG) Brasil.
José Marques Novo Júnior
Professor. Universidade Federal de São Carlos, São Carlos (SP) Brasil.