Continuous and bimonthly publication
ISSN (on-line): 1806-3756

Licença Creative Commons
31934
Views
Back to summary
Open Access Peer-Reviewed
Original Article

Validação do Modified Pulmonary Functional Status and Dyspnea Questionnaire e da escala do Medical Research Council para o uso em pacientes com doença pulmonar obstrutiva crônica no Brasil

Validation of the Modified Pulmonary Functional Status and Dyspnea Questionnaire and the Medical Research Council scale for use in Brazilian patients with chronic obstructive pulmonary disease

Demetria Kovelis, Nicoli Oldemberg Segretti, Vanessa Suziane Probst, Suzanne Claire Lareau, Antônio Fernando Brunetto, Fábio Pitta

ABSTRACT

Abstract Objective: To determine the validity and reproducibility of two subjective instruments to assess limitations in activities of daily living (ADLs) in patients with chronic obstructive pulmonary disease (COPD) in Brazil: the Pulmonary Functional Status and Dyspnea ­Questionnaire ‑ ­Modified version (PFSDQ-M) and the Medical Research Council (MRC) scale. Methods: Thirty patients with COPD (age, 67 ± 10 years; males, 17; forced expiratory volume in one second, 42% ± 13% of predicted) completed the Portuguese-language versions of the two instruments on two occasions, one week apart. The PFSDQ-M has three components: influence of dyspnea on ADLs, influence of fatigue on ADLs and change experienced by the patient with ADLs. The MRC scale is simple, with only five items, in which patients report the degree to which dyspnea limits their performance of ADLs. The traditional Saint George's Respiratory Questionnaire (SGRQ), previously validated for use in Brazil, was used as a validation criterion. Results: The test-retest reliability (intraclass correlation coefficient) of the PFSDQ-M was 0.93, 0.92 and 0.90 for the dyspnea, fatigue and change components, respectively, compared with 0.83 for the MRC scale. Bland-Altman plots showed good test-retest concordance for the PFSDQ-M. The components of the PFSDQ-M and the MRC scale correlated significantly with all of the domains and the total score on the SGRQ (0.49 < r < 0.80; p < 0.01 for all). Conclusions: The Portuguese-language versions of the PFSDQ-M and the MRC scale proved reproducible and valid for use in patients with COPD in Brazil.

Keywords: Pulmonary disease, chronic obstructive; Activities of daily living; Validation studies.

RESUMO

Objetivo: Verificar a validade e a reprodutibilidade do uso de dois instrumentos subjetivos para avaliar a limitação nas atividades da vida diária (AVD) em pacientes com doença pulmonar obstrutiva crônica (DPOC) no Brasil: o Pulmonary Functional Status and Dyspnea ­Questionnaire - Modified version (PFSDQ-M) e a escala do Medical Research Council (MRC). Métodos: Trinta pacientes com DPOC (17 homens; idade, 67 ± 10 anos; volume expiratório forçado no primeiro segundo, 42% ± 13% do predito) responderam por duas vezes às versões em português dos dois instrumentos com intervalo de uma semana. O PFSDQ-M contém três componentes: influência da dispnéia nas AVD, influência da fadiga nas AVD, e mudança nas AVD em comparação ao período anterior à doença. A escala do MRC é simples, com apenas cinco itens, dentre os quais o paciente escolhe qual o seu nível de limitação nas AVD devido à dispnéia. O tradicional questionário Saint George's ­Respiratory Questionnaire (SGRQ), já validado para o uso no Brasil, foi utilizado como critério de validação. Resultados: A confiabilidade em reteste do PFSDQ-M utilizando o coeficiente de correlação intraclasse foi de 0,93, 0,92 e 0,90 para os componentes dispnéia, fadiga e mudança, respectivamente, enquanto que esta foi de 0,83 para a escala do MRC. A análise dos gráficos de Bland e Altman mostrou boa concordância entre a aplicação e a reaplicação do PFSDQ-M. Os componentes do PFSDQ-M e a escala do MRC se correlacionaram significativamente com os domínios e o escore total do SGRQ (0,49 < r < 0,80; p < 0,01 para todos). Conclusões: As versões em língua portuguesa do PFSDQ-M e da escala do MRC demonstraram ser reprodutíveis e válidas para o uso em pacientes com DPOC no Brasil.

Palavras-chave: Doença pulmonar obstrutiva crônica; Atividades cotidianas; Estudos de validação.

Introdução

A doença pulmonar obstrutiva crônica (DPOC) é caracterizada pela obstrução não totalmente reversível das vias aéreas, com conseqüente limitação ao fluxo aéreo e dispnéia.(1) Adicionalmente, a DPOC tem sido recentemente descrita como uma doença com conseqüências sistêmicas, como a perda progressiva do condicionamento físico e da força muscular.(2) Tem sido sugerido que a interação entre dispnéia, descondicionamento físico e fraqueza muscular resulta em uma espécie de círculo vicioso ou espiral negativo,(3) que gera importantes ­limitações funcionais em pacientes portadores de DPOC.(4) Na prática, essas limitações funcionais podem ser definidas como a redução na capacidade de realizar atividades da vida diária (AVD).(5) A estreita relação entre atividade física na vida diária, morbidade e mortalidade em pacientes com DPOC(6-8) demonstra a importância da avaliação adequada das limitações na realização de AVD. O método mais simples e mais comumente utilizado para avaliação das limitações em AVD é a aplicação de questionários específicos para essa finalidade.(9)

A literatura científica internacional mostra diversos questionários desenvolvidos especificamente para avaliação das limitações nas AVD de pacientes com DPOC. Dentre eles destaca-se o questionário Pulmonary Functional Status and Dyspnea Questionnaire - Modified version (PFSDQ-M). Adicionalmente, com o objetivo de avaliar a limitação imposta pela dispnéia nas AVD, a escala do Medical Research Council (MRC) é um instrumento tradicionalmente utilizado na literatura internacional principalmente por ser de fácil aplicabilidade e compreensão. As versões originais em língua inglesa desses dois instrumentos foram validadas e previamente utilizadas em estudos científicos.(10,11) No entanto, esses instrumentos ainda não foram traduzidos para a língua portuguesa até o presente momento. Devido à influência de fatores culturais e da interpretação subjetiva, recomenda-se especial atenção na validação de questionários para uma língua diferente da original, visando a manutenção do sentido original das questões.(12) Portanto, para que uma versão em língua portuguesa do PFSDQ-M e da escala do MRC possa ser utilizada, a adequada validação se faz necessária. O desenvolvimento da versão em português disponibilizará os instrumentos para o uso de pesquisadores e clínicos brasileiros. Isso permitirá um maior conhecimento sobre o ponto de vista do paciente brasileiro com DPOC a respeito de suas próprias limitações nas AVD.

O objetivo principal do presente estudo foi investigar a validade de critério, consistência interna e reprodutibilidade de uma versão em língua portuguesa do PFSDQ-M e da escala do MRC em pacientes com DPOC, utilizando-se a versão validada em português do Saint George's Respiratory Questionnaire (SGRQ)(13) como critério de validação. Partimos da hipótese de que ambos os instrumentos traduzidos apresentariam boa reprodutibilidade e consistência interna, assim como os instrumentos originais em língua inglesa. Também foram testadas as hipóteses de que os escores dos diferentes domínios e o escore total do SGRQ se correlacionariam com os valores da escala do MRC e dos três componentes do PFSDQ-M. Além disso, adotamos a hipótese de que o domínio atividade física do SGRQ se correlacionaria melhor com o componente mudança nas AVD do PFSDQ-M do que com a escala do MRC, visto que este último é considerado um instrumento que gradua sintomas relacionados à realização das AVD, e não somente à limitação nas AVD propriamente dita.

Métodos

Trinta pacientes com DPOC responderam por duas vezes à versão em português do PFSDQ-M e da escala do MRC com intervalo de uma semana entre as entrevistas. Foi utilizado como critério de validação o SGRQ,(14) já validado em português,(13,15) que visa avaliar aspectos gerais da qualidade de vida de pacientes com pneumopatia crônica. Foram realizados espirometria e teste da caminhada de seis minutos (TC6) no primeiro dia de aplicação dos questionários para caracterizar a população e para o estudo de correlações entre os dois instrumentos com esses testes.

Os pacientes foram recrutados durante a avaliação inicial para entrada em um programa de reabilitação pulmonar no Hospital Universitário Regional Norte do Paraná (HURNPR), Londrina, Brasil. As características da amostra estão descritas na Tabela 1. O diagnóstico de DPOC foi feito de acordo com critérios determinados pelo Global Initiative for Chronic Obstructive Lung Disease,(1) aceitos internacionalmente. O tamanho da amostra foi definido com base nos estudos de validação da versão em língua portuguesa do SGRQ.(13,15) Além do diagnóstico de DPOC, foram considerados os seguintes critérios de inclusão: condição estável, sem exacerbações ou infecções nos últimos três meses; ausência de cardiopatia severa ou instável; e ausência de outras condições patológicas que pudessem influenciar no desempenho das AVD (por exemplo, doença cerebrovascular, ortopédica ou reumática). Os critérios de exclusão foram os seguintes: ocorrência de exacerbação aguda durante o período das avaliações e a falta de compreensão ou de colaboração com relação aos questionários e aos outros métodos de avaliação, de acordo com o julgamento subjetivo do aplicador dos instrumentos e testes. O estudo contou com a aprovação do Comitê de Ética em Pesquisa da Universidade Estadual de Londrina - HURNPR, e os dados foram coletados de fevereiro a setembro de 2007. Todos os pacientes deram consentimento formal para sua participação no estudo ao assinar um termo de compromisso esclarecido antes de sua inclusão.



Versão modificada do Pulmonary Functional Status and Dyspnea Questionnaire

O PFSDQ-M é composto por três domínios: influência da dispnéia nas AVD, influência da fadiga nas AVD (5 itens gerais e 10 específicos para cada domínio) e mudança nas AVD em comparação ao período anterior à doença (10 itens específicos).(10) O paciente relata o quanto a dispnéia e a fadiga interferem nos 10 itens específicos de AVD, escolhendo para cada atividade um valor entre 0 e 10: 0 (nenhuma interferência), 1-3 (leve), 4-6 (moderada), 7-9 (grave) e 10 (muito grave). No terceiro domínio, o paciente relata de quanto foi a mudança nas AVD em comparação ao período anterior à doença, escolhendo para cada atividade um valor entre 0 e 10: 0 (tão ativo como sempre em relação a essa atividade), 1-3 (pequena mudança), 4-6 (mudança moderada), 7-9 (mudança extrema) e 10 (não faz mais essa atividade). Um escore parcial é calculado, variando de 0 a 100 para cada um dos três domínios (dispnéia, fadiga e mudança nas AVD), e um escore total é formado pela soma dos escores parciais dos três domínios, totalizando um valor que varia de 0 a 300. Valores mais altos na escala indicam maior limitação nas AVD. As cinco questões gerais nos domínios dispnéia e fadiga são de caráter informativo e qualitativo, e suas respostas não são contabilizadas na pontuação do questionário (Anexo 1).







Escala do Medical Research Council

A escala do MRC é composta por apenas cinco itens, sendo que o paciente escolhe o item que corresponde a quanto a dispnéia limita suas AVD.(11) O paciente relata seu grau subjetivo de dispnéia escolhendo um valor entre 1 e 5: 1 (só sofre de falta de ar durante exercícios intensos), 2 (sofre de falta de ar quando andando apressadamente ou subindo uma rampa leve), 3 (anda mais devagar do que pessoas da mesma idade por causa de falta de ar ou tem que parar para respirar mesmo quando andando devagar), 4 (pára para respirar depois de andar menos de 100 m ou após alguns minutos) e 5 (sente tanta falta de ar que não sai mais de casa, ou sente falta de ar quando está se vestindo) (Anexo 2).



Devido ao alto índice de analfabetos observado na amostra (Tabela 1), índice esse tipicamente observado na população carente atendida pelo HURNPR, a leitura das questões para todos os pacientes foi padronizada como método de aplicação tanto do PFSDQ-M quanto da escala do MRC. Portanto, o aplicador leu as perguntas e anotou as respostas fornecidas pelo paciente. O aplicador dos questionários era o mesmo na aplicação e na reaplicação. O tempo gasto pelos pacientes nas duas aplicações foi cronometrado.

Processo de tradução

Para a validação dos instrumentos foram utilizados os passos propostos em um estudo.(12) Primeiramente, os autores realizaram a tradução da versão original inglesa do PFSDQ-M e da escala do MRC para a língua portuguesa. Os autores então discutiram as dificuldades encontradas após a aplicação dessa primeira versão em uma pequena amostra com cinco pacientes com DPOC. Como não havia termos e situações não aplicáveis à realidade brasileira em nenhum dos dois questionários, não foi necessária a realização de adaptação cultural. A seguir, foi realizada a tradução retrógrada para o inglês por uma fisioterapeuta educada em língua inglesa como língua materna, mas sem nenhum contato prévio com os instrumentos e sem envolvimento com o presente estudo. Essas versões de tradução retrógrada foram então enviadas para os autores das versões originais. Após a discussão e aprovação dessas, os autores do presente estudo concluíram a versão final em língua portuguesa (Anexos 1 e 2).

Versão em português do Saint George's Respiratory Questionnaire

O SGRQ foi desenvolvido especificamente para pacientes com pneumopatia obstrutiva crônica e aborda aspectos de qualidade de vida relacionados a três domínios: sintomas, atividade e impactos psicossociais que a doença respiratória inflige ao paciente. Cada domínio tem uma pontuação mínima (zero) e máxima (662,5; 1.209,1; e 2.117,8, respectivamente). Os pontos de cada resposta são somados, e o total é referido como o percentual atingido pelo paciente em relação a esta pontuação máxima.(13-15) Um escore total também é calculado baseado nos resultados dos três domínios, com uma pontuação máxima de 3.989,4. O escore total também é referido como o percentual atingido pelo paciente em relação a esta pontuação máxima.

A primeira versão em português do SGRQ(13) foi fiel à versão original em inglês britânico(14) e manteve a característica de dupla negativa das perguntas e respostas, com "sim" e "não" como opções de resposta. A versão utilizada para o presente estudo foi aquela modificada em 2006.(15) Essa nova versão tem "concordo" e "não concordo" como opções de resposta a fim de evitar a dupla negativa e facilitar o entendimento das questões. Além disso, nessa nova versão o tempo de avaliação entre as aplicações do questionário foi reduzido de 12 meses para 3 meses, a fim de torná-lo mais apropriado para avaliar resultados de intervenções que tragam benefícios em prazos mais curtos.


Avaliações adicionais

A espirometria simples foi realizada de acordo com as normas das "Diretrizes para Testes de Função Pulmonar".(16) O aparelho utilizado foi o Pony Graphic (Cosmed, Roma, Itália), e os valores de normalidade utilizados foram os estabelecidos em um estudo.(17)

O TC6 foi realizado de acordo com padrões internacionais,(18) num corredor de 30 m de comprimento. Dois testes foram realizados com um intervalo mínimo de 30 min, e o maior valor foi utilizado para análise. Os valores de normalidade utilizados foram os estabelecidos em um estudo.(19) A inclusão do TC6 como parte do presente estudo ocorreu pelo fato desse teste ter sido recentemente descrito como o melhor teste preditivo clínico do nível de atividade física na vida diária para pacientes com DPOC.(4)

Análise estatística

Para a análise estatística, foi utilizado o programa estatístico GraphPad Prism® 3.0 (GraphPad Software Inc., San Diego, CA, EUA). A análise estatística não-paramétrica foi utilizada pelo fato de tratar-se da análise de dados ordinais. Para a análise da reprodutibilidade na aplicação (dia 1) e reaplicação (dia 2) do PFSDQ-M e da escala do MRC, o coeficiente de correlação intraclasse (CCI) foi utilizado. A concordância entre o dia 1 e dia 2 foi também avaliada visualmente por meio do gráfico de Bland e Altman. A consistência interna dos instrumentos foi avaliada por meio do coeficiente alfa de Cronbach. A validade dos dois instrumentos em relação ao SGRQ, variáveis da espirometria e a distância percorrida no TC6 foi avaliada por meio do coeficiente de correlação de Spearman.

Resultados

O grupo de pacientes incluído no presente estudo foi caracterizado por obstrução moderada/grave, assim como por uma capacidade funcional de exercício levemente diminuída (Tabela 1). Dos 30 pacientes, 19 (63%) eram alfabetizados e 11 (37%) eram analfabetos. O tempo médio de preenchimento do PFSDQ-M, nos dias 1 e 2 foi de 17 ± 7 min e 1,6 ± 0,7 min, respectivamente, e o tempo médio de preenchimento da escala do MRC nos dias 1 e 2 foi de 13 ± 5 min e 1,0 ± 0,4 min, respectivamente. Não houve diferença entre pacientes alfabetizados e analfabetos com relação ao tempo de aplicação nem aos valores de ambos os instrumentos, pois o modo de aplicação foi o mesmo para todos os pacientes, ou seja, leitura das questões por um entrevistador.
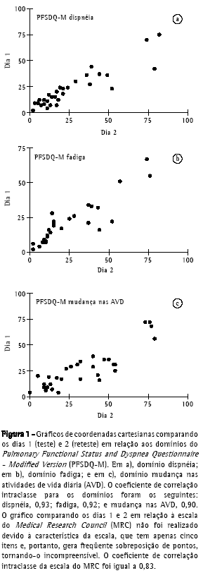
O CCI dos diferentes domínios do PFSDQ-M entre os dias 1 e 2 apresentou os seguintes resultados: Dispnéia, 0,93; Fadiga, 0,92; e Mudança nas AVD, 0,90.

O CCI para a escala do MRC foi de 0,83 (Figura 1). A análise dos gráficos de Bland e Altman mostrou boa concordância entre a aplicação e a reaplicação dos questionários (Figura 2). O coeficiente alfa de Cronbach do PFSDQ-M foi de 0,94. O cálculo do coeficiente alfa de Cronbach da escala do MRC não foi possível devido às características da escala.





Foram observadas correlações significativas dos domínios do PFSDQ-M e da escala do MRC com os domínios e o escore total do SGRQ (0,49 < r < 0,80). O SGRQ se correlacionou melhor com o domínio mudança nas AVD do PFSDQ-M do que com a escala do MRC (r = 0,76 e r = 0,56, respectivamente; p < 0,05 para ambos). A escala do MRC apresentou correlação relativamente similar com os domínios atividade física e sintomas do SGRQ (r = 0,56 e r = 0,49, respectivamente; p < 0,05 para ambos) (Tabela 2).



Houve uma tendência de correlação entre a escala do MRC com a distância percorrida no TC6 (r = −0,31; p = 0,08). Não houve correlação significativa de nenhum domínio do PFSDQ-M com a distância percorrida no TC6 (p > 0,15 para todos), nem do PFSDQ-M e da escala do MRC com quaisquer variáveis espirométricas (p > 0,40 para todos).

Discussão

O presente estudo mostrou que a versão em língua portuguesa do questionário PFSDQ-M é reprodutível, tem consistência interna e apresenta validade externa quando comparada a um instrumento tradicional e previamente validado. Isso se deve aos altos valores de CCI, boa concordância nos gráficos de Bland e Altman, alto coeficiente alfa de Cronbach e boa correlação com os diferentes domínios e o escore total do SGRQ. O questionário PFSDQ-M já foi validado em sueco e em japonês,(20,21) sendo que a versão japonesa apresentou valores de CCI e de coeficiente de alfa de Cronbach semelhantes aos encontrados no presente estudo.(21) A versão em português da escala do MRC também se mostrou reprodutível e válida. Em pesquisa da literatura internacional, não foi encontrada pelos presentes autores nenhuma validação formal da escala do MRC em língua diferente da original (inglês), embora ela tenha sido utilizada em diversos estudos em diferentes línguas sem descrição do seu processo de validação.

Todos os itens incluídos em ambos os instrumentos originais são aplicáveis a qualquer paciente com DPOC de qualquer país ou língua. Isso se deve ao fato de que as 10 atividades incluídas no PFSDQ-M correspondem às atividades das quais a grande maioria dos pacientes com DPOC freqüentemente se queixa de maiores limitações no seu dia-a-dia, bem como ao fato de que os cinco itens da escala do MRC descrevem graus diferentes de sensação de dispnéia. Nenhum item nas presentes versões dos instrumentos (Anexos 1 e 2) apresenta discordância com a língua portuguesa ou com a realidade cultural e social do Brasil, e por isso não houve necessidade de adaptações importantes.

O SGRQ foi escolhido para ser utilizado como critério de validação para as versões em língua portuguesa do questionário PFSDQ-M e da escala do MRC porque este foi usado como critério de validação da versão original em inglês da escala do MRC,(11) é considerado um instrumento com validade comprovada e é amplamente utilizado em pesquisas científicas.(3-15,22-24)

De forma geral, houve correlações altas e significantes entre os domínios do PFSDQ-M e da escala do MRC com todos os domínios e o escore total do SGRQ, demonstrando a validade da versão destes dois instrumentos (Tabela 2). No entanto, o escore total do SGRQ possui como característica avaliar de forma geral a qualidade de vida relacionada à saúde de pacientes com pneumopatia crônica, não sendo um instrumento para determinar especificamente a limitação nas AVD. Já o domínio atividade física do SGRQ, por sua vez, diz respeito mais diretamente à limitação física que esses pacientes apresentam. Os resultados apresentados na Tabela 2 confirmaram a hipótese de que este domínio se correlacionou melhor com o domínio mudança nas AVD do PFSDQ-M do que com a escala do MRC, que é considerado um instrumento que gradua sintomas relacionados à realização das AVD, e não somente à limitação nas AVD propriamente dita. Tal suposição sobre a escala do MRC pode ser corroborada pelo fato de que, no presente estudo, essa escala apresentou correlação de valor relativamente similar com os domínios atividade física e sintomas do SGRQ.

Um estudo proveniente da Espanha mostrou que houve correlação significante da capacidade máxima de exercício com a escala do MRC, enquanto que o mesmo não ocorreu quando correlacionada com a escala analógica visual de 20 cm em pacientes com DPOC.(25) Outro estudo investigou a correlação da escala do MRC com a sensação de dispnéia medida através da escala de Borg durante o TC6 e o teste cardiopulmonar máximo em cicloergômetro nesta mesma população.(26) Este trabalho mostrou que houve maior correlação entre os valores da escala do MRC com a dispnéia referente ao TC6 quando comparado com a dispnéia referente ao teste máximo, além de ter se correlacionado negativamente com a distância percorrida no TC6, sugerindo a relação da escala com a capacidade funcional em pacientes com DPOC. No presente estudo, a escala do MRC apresentou uma tendência de correlação com o TC6, o que confirma a ligação entre as limitações nas AVD e a redução na capacidade funcional de exercício, visto que pesquisas recentes mostraram que o TC6 é possivelmente o teste funcional que melhor reflete o nível de atividade física na vida diária de pacientes com DPOC.(4,27)

No presente estudo, a limitação nas AVD não se correlacionou com o grau de obstrução das vias aéreas. Estudos prévios que abordaram esse tema mostraram resultados conflitantes,(4,10,27-30) possivelmente devido às diferenças tanto no grau de obstrução aérea dos grupos de pacientes incluídos em cada estudo, quanto nos instrumentos utilizados para avaliar a limitação nas AVD, variando grandemente entre diversos questionários e monitores de atividade física.

A sensibilidade às mudanças observadas após um programa de reabilitação pulmonar das versões em português do PFSDQ-M e da escala do MRC ainda não foi testada. Apesar do tamanho da amostra também poder ser visto como uma ­limitação, o presente estudo contou com uma amostra de tamanho similar aos estudos de validação do ­questionário PFSDQ-M em língua sueca (n = 30)(20) e de validação do SGRQ em língua portuguesa (n = 30).(13,15)
Além disso, os resultados ­altamente significantes pelo ponto de vista estatístico claramente mostram que foi possível avaliar a reprodutibilidade e a validade da escala com a amostra utilizada.

A partir deste estudo, pesquisadores e clínicos de língua portuguesa poderão utilizar duas novas, válidas e úteis ferramentas a fim de obter dados confiáveis sobre o perfil de AVD e dispnéia na vida diária de pacientes com DPOC.
Adicionalmente, os pacientes poderão se beneficiar com um tratamento mais eficiente e que enfoque especificamente suas dificuldades com relação às limitações nas AVD.

Em suma, as versões em língua portuguesa do PFSDQ-M e da escala do MRC demonstraram ser reprodutíveis e válidas para pacientes com DPOC.
Portanto, o presente estudo fornece duas novas e importantes ferramentas para avaliar a limitação no desempenho das AVD e a limitação pela dispnéia nessa população.

Agradecimentos

Os autores gostariam de agradecer à estudante de fisioterapia Ana Lúcia Colange e à fisioterapeuta Beatriz Ito Ramos de Oliveira a valiosa colaboração.

Referências

1. Rabe KF, Hurd S, Anzueto A, Barnes PJ, Buist SA, Calverley P, et al. Global strategy for the diagnosis, management, and prevention of chronic obstructive pulmonary disease: GOLD executive summary. Am J Respir Crit Care Med. 2007;176(6):532-55.

2. Celli BR, MacNee W; ATS/ERS Task Force. Standards for the diagnosis and treatment of patients with COPD: a summary of the ATS/ERS position paper. Eur Respir J. 2004;23(6):932-46. Erratum in: Eur Respir J. 2006;27(1):242.

3. Schönhofer B, Ardes P, Geibel M, Köhler D, Jones PW. Evaluation of a movement detector to measure daily activity in patients with chronic lung disease. Eur Respir J. 1997;10(12):2814-9.

4. Pitta F, Troosters T, Spruit MA, Probst VS, Decramer M, Gosselink R. Characteristics of physical activities in daily life in chronic obstructive pulmonary disease. Am J Respir Crit Care Med. 2005;171(9):972-7.

5. Lareau SC, Breslin EH, Meek PM. Functional status instruments: outcome measure in the evaluation of patients with chronic obstructive pulmonary disease. Heart Lung. 1996;25(3):212-24.

6. Pitta F, Troosters T, Probst VS, Spruit MA, Decramer M, Gosselink R. Physical activity and hospitalization for exacerbation of COPD. Chest. 2006;129(3):536-44.

7. Pitta F, Troosters t, Probst VS, Lucas S, Decramer M, Gosselink R. Potential consequences for stable chronic obstructive pulmonary disease patients who do not get the recommended minimum daily amount of physical activity. J Bras Pneumol. 2006;32(4):301-8.

8. Garcia-Aymerich J, Lange P, Benet M, Schnohr P, Antó JM. Regular physical activity reduces hospital admission and mortality in chronic obstructive pulmonary disease: a population based cohort study. Thorax. 2006;61(9):772-8.

9. Pitta F, Troosters T, Probst VS, Spruit MA, Decramer M, Gosselink R. Quantifying physical activity in daily life with questionnaires and motion sensors in COPD. Eur Respir J. 2006;27(5):1040-55.

10. Lareau SC, Meek PM, Roos PJ. Development and testing of the modified version of the pulmonary functional status and dyspnea questionnaire (PFSDQ-M). Heart Lung. 1998;27(3):159-68.

11. Bestall JC, Paul EA, Garrod R, Garnham R, Jones PW, Wedzicha JA. Usefulness of the Medical Research Council (MRC) dyspnoea scale as a measure of disability in patients with chronic obstructive pulmonary disease. Thorax. 1999;54(7):581-6.

12. Guillemin F, Bombardier C, Beaton D. Cross-cultural adaptation of health-related quality of life measures: literature review and proposed guidelines. J Clin Epidemiol. 1993;46(12):1417-32.

13. Souza TC, Jardim JR, Jones P. Validação do Questionário do Hospital Saint George na Doença Respiratória (SGRQ) em pacientes portadores de doença pulmonar obstrutiva crônica no Brasil. J Pneumol. 2000;26(3):119-25.

14. Jones PW, Quirk FH, Baveystock CM, Littlejohns P. A self-complete measure of health status for chronic airflow limitation. The St. George's Respiratory Questionnaire. Am Rev Respir Dis. 1992;145(6):1321-7.

15. Camelier A, Rosa FW, Salmi C, Nascimento OA, Cardoso F, Jardim JR. Using the Saint George's Respiratory Questionnaire to evaluate quality of life in patients with chronic obstructive pulmonary disease: validating a new version for use in Brazil. J Bras Pneumol. 2006;32(2):114-22.

16. Sociedade Brasileira de Pneumologia e Tisiologia. Diretrizes para testes de função pulmonar. J Pneumol. 2002;28(3):1-221.

17. Knudson RJ, Slatin RC, Lebowitz MD, Burrows B. The maximal expiratory flow-volume curve. Normal standards, variability, and effects of age. Am Rev Respir Dis. 1976;113(5):587-600.

18. Brooks D, Solway S, Gibbons WJ. ATS statement on six-minute walk test. Am J Respir Crit Care Med. 2003;167(9):1287.

19. Troosters T, Gosselink R, Decramer M. Six minute walking distance in healthy elderly subjects. Eur Respir J. 1999;14(2):270-4.

20. Wingårdh A, Engström CP, Claesson L. Test-retest of a Swedish version of the Pulmonary Functional Status & Dyspnea Questionnaire-modified. Scand J Occup Ther. 2007;14(3):183-91.

21. Kojima S, Ando M, Okazawa M, Sakakibara H, Hashimoto S, Nakajima S. Development of a Japanese version of the Modified Questionnaire on the Pulmonary Functional Status and Dyspnea [Article in Japanese]. Nihon Kokyuki Gakkai Zasshi. 2004;42(6):486-90.

22. Bourbeau J, Maltais F, Rouleau M, Guímont C. French-Canadian version of the Chronic Respiratory and St George's Respiratory questionnaires: an assessment of their psychometric properties in patients with chronic obstructive pulmonary disease. Can Respir J. 2004;11(7):480-6.

23. Barr JT, Schumacher GE, Freeman S, LeMoine M, Bakst AW, Jones PW. American translation, modification, and validation of the St. George's Respiratory Questionnaire. Clin Ther. 2000;22(9):1121-45.

24. Doll H, Duprat-Lomon I, Ammerman E, Sagnier PP. Validity of the St George's respiratory questionnaire at acute exacerbation of chronic bronchitis: comparison with the Nottingham health profile. Qual Life Res. 2003;12(2):117-32.

25. Ruiz de Oña Lacasta JM, Puente Maestu L, Rodríguez Hermosa JL, Tatay Martí E, Cubillo Marcos JM. A comparison of several measurement scales for assessing dyspnea in their daily activities in patients with chronic obstructive lung disease [Article in Spanish]. Arch Bronconeumol. 2000;36(1):25-8.

26. Gallego MC, Samaniego J, Alonso J, Sánchez A, Carrizo S, Marín JM. Dyspnea in COPD: relation to the MRC scale with dyspnea induced by walking and cardiopulmonary stress testing [Article in Spanish]. Arch Bronconeumol. 2002;38(3):112-6.

27. Belza B, Steele BG, Hunziker J, Lakshminaryan S, Holt L, Buchner DM. Correlates of physical activity in chronic obstructive pulmonary disease. Nurs Res. 2001;50(4):195-202.

28. Garcia-Aymerich J, Félez MA, Escarrabill J, Marrades RM, Morera J, Elosua R, et al. Physical activity and its determinants in severe chronic obstructive pulmonary disease. Med Sci Sports Exerc. 2004;36(10):1667-73.

29. Yohannes AM, Roomi J, Winn S, Connolly MJ. The Manchester Respiratory Activities of Daily Living questionnaire: development, reliability, validity, and responsiveness to pulmonary rehabilitation. J Am Geriatr Soc. 2000;48(11):1496-500.

30. Bendstrup KE, Ingemann Jensen J, Holm S, Bengtsson B. Out-patient rehabilitation improves activities of daily living, quality of life and exercise tolerance in chronic obstructive pulmonary disease. Eur Respir J. 1997;10(12):2801-6.




Estudo realizado no Laboratório de Pesquisa em Fisioterapia Pulmonar, Departamento de Fisioterapia, Centro de Ciências da Saúde, Hospital Universitário Regional Norte do Paraná, Universidade Estadual de Londrina, Londrina (PR) Brasil.
1. Fisioterapeuta. Laboratório de Pesquisa em Fisioterapia Pulmonar, Departamento de Fisioterapia, Centro de Ciências da Saúde, Hospital Universitário Regional Norte do Paraná, Universidade Estadual de Londrina, Londrina (PR) Brasil.
2. Pesquisadora colaboradora. Laboratório de Pesquisa em Fisioterapia Pulmonar, Departamento de Fisioterapia, Centro de Ciências da Saúde, Hospital Universitário Regional Norte do Paraná, Universidade Estadual de Londrina, Londrina (PR) Brasil.
3. Enfermeira Especialista em Pneumologia Clínica. New Mexico VA Health Care System, Albuquerque (NM), EUA
4. Professor. Departamento de Fisioterapia, Universidade Estadual de Londrina - UEL - Londrina (PR) Brasil.
Endereço para correspondência: Fábio Pitta. Departamento de Fisioterapia, CCS Hospital Universitário, Universidade Estadual de Londrina, Av. Robert Koch, 60, Vila Operária, CEP 86038-440, Londrina, PR, Brasil.
Tel 55 43 3371-2288. E-mail: fabiopitta@uol.com.br
Apoio financeiro: Este estudo recebeu apoio financeiro do Conselho Nacional de Desenvolvimento Científico e Tecnológico (CNPq).
Recebido para publicação em 17/12/2007. Aprovado, após revisão, em 5/5/2008.







Indexes

Development by:

© All rights reserved 2025 - Jornal Brasileiro de Pneumologia